题目内容

为了安全,在公路上行驶的汽车之间应保持必要的距离,已知某高速公路的最高限速v=120km/h.假设前方车辆突然停止,后车司机从发现这一情况,经操纵刹车到汽车开始减速所经历的时间(即反应时间)t=0.50s,刹车产生的加速度大小a=4m/.该高速公路上汽车间的距离s至少应为多少?

答案:
解析:

  解:设高速公路上汽车间的距离至少为s,最高限速

  v=120km/h=m/s,

  反应时间内汽车行驶的距离

  ×m=m,

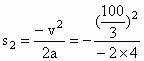
  从开始减速到停止这段时间内所走的距离为,由

  =2as,得:0-=2a

  m=138.9m,

  故汽车间的距离s至少为:

  s=m=155.6m.


练习册系列答案
相关题目

违法和不良信息举报电话:027-86699610 举报邮箱:58377363@163.com

精英家教网