题目内容
长木板B放在光滑水平面上,小物体A以水平初速度v滑上B的上表面,它们的速度随时间变化的情况如图所示,则A与B的质量之比为 ;A克服摩擦力做的功与摩擦力对B做的功之比为 .
【答案】分析:在速度时间图象上,斜率代表加速度,可求加速度之比,质量之与加速成反比;图象上围成的面积表示位移,根据做功公式可求摩擦力做功之比.
解答:解:在速度时间图象上,斜率等于加速度,可得:
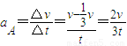
①
②
①②联立得:
③
由牛顿第二定律得:f=mAaA ④
f=mBaB ⑤
③④⑤联立得:
图象上围成的面积表示位移,可得AB两物体的位移之比:

由W=FL得:
摩擦力做功之比为:

故答案为:1:2,2:1.
点评:本题属于木块在木板上滑动类型,既考查读图能力,也考查运用牛顿第二定律、功能关系处理复杂力学问题的能力.
解答:解:在速度时间图象上,斜率等于加速度,可得:
①②联立得:
由牛顿第二定律得:f=mAaA ④
f=mBaB ⑤
③④⑤联立得:
图象上围成的面积表示位移,可得AB两物体的位移之比:
由W=FL得:
摩擦力做功之比为:
故答案为:1:2,2:1.
点评:本题属于木块在木板上滑动类型,既考查读图能力,也考查运用牛顿第二定律、功能关系处理复杂力学问题的能力.
练习册系列答案
相关题目