题目内容

金星的半径是地球的0.95倍,质量为地球的0.82倍,金星表面的自由落体加速度是多大?金星的第一宇宙速度是多大?

答案:略
解析:

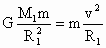
(1)设金星质量为、半径为、金星表面自由落体加速度为.在金星表面:

设地球质量为、半径为、地球表面自由落体加速度为

在地球表面有:

由以上两式得:

(2)


练习册系列答案
相关题目

违法和不良信息举报电话:027-86699610 举报邮箱:58377363@163.com

精英家教网