题目内容

如图,两块相同平板P1,P2置于光滑水平面上,质量均为m.P2的右端固定一轻质弹簧,左端A与弹簧的自由端B相距L.物体P置于P1的最右端,质量为2 m县城可看作质点.P1与P以共同速度v0向右运动,与静止的P2发生碰撞,碰撞时间极短.碰撞后P1与P2粘连在一起.P压缩弹簧后被弹回并停在A点(弹簧始终在弹性限度内).P与P2之间的动摩擦因数为μ.求

(1)P1、P2刚碰完时的共同速度v1和P的最终速度v2

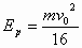
(2)此过程中弹簧的最大压缩量x和相应的弹性势能Ep

答案:
解析:

  考点:动量守恒、能量守恒、临界分析

  解析:(1)p1和p2碰撞动量守恒:

  mv0=(m+m)v1

  得出:

  P在p2上滑行过程p1、p2、p系统动量守恒:

  2mv0+2mv1=4mv2

  得出:

  (2)p1、p2、p第一次等速弹簧最大压缩量最大,由能量守恒得

  

  p刚进入p2到p1、p2、p第二次等速时有能量守恒得;

  

  由③④得: 


练习册系列答案
相关题目

违法和不良信息举报电话:027-86699610 举报邮箱:58377363@163.com

精英家教网