ÌâÄ¿ÄÚÈÝ
Ò»¸öÓÐÒ»¶¨ºñ¶ÈµÄÔ²ÅÌ£¬¿ÉÒÔÈÆÍ¨¹ýÖÐÐÄ´¹Ö±ÓÚÅÌÃæµÄˮƽÖáת¶¯£¬ÓÃÏÂÃæµÄ·½·¨²âÁ¿ËüÔÈËÙת¶¯Ê±µÄ½Ç¶ÈËÙ£®?ʵÑéÆ÷²Ä£ºµç´Å´òµã¼ÆÊ±Æ÷£¬Ã׳ߣ¬Ö½´ø£¬¸´Ð´Ö½Æ¬£®
?ʵÑé²½Ö裺
?£¨1£©Èçͼ£¨1£©Ëùʾ£¬½«µç´Å´òµã¼ÆÊ±Æ÷¹Ì¶¨ÔÚ×ÀÃæÉÏ£¬½«Ö½´øµÄÒ»¶Ë´©¹ý´òµã¼ÆÊ±Æ÷µÄÏÞλ¿×ºó£¬¹Ì¶¨ÔÚ´ý²âÔ²Å̵IJàÃæÉÏ£¬Ê¹µÃÔ²ÅÌת¶¯Ê±£¬Ö½´ø¿ÉÒÔ¾íÔÚÔ²Å̲àÃæÉÏ£®
?£¨2£©Æô¶¯¿ØÖÆ×°ÖÃʹԲÅÌת¶¯£¬Í¬Ê±½ÓͨµçÔ´£¬´òµã¼ÆÊ±Æ÷¿ªÊ¼´òµã£®
?£¨3£©¾¹ýÒ»¶Îʱ¼ä£¬Í£Ö¹×ª¶¯ºÍ´òµã£¬È¡ÏÂÖ½´ø£¬½øÐвâÁ¿£®
?¢ÙÓÉÒÑÖªÁ¿ºÍ²âµÃÁ¿±íʾµÄ½ÇËٶȵıí´ïʽΪ¦Ø=______£¬Ê½Öи÷Á¿µÄÒâÒåÊÇ£º______£®
?¢Úij´ÎʵÑé²âµÃÔ²Å̰뾶r=5.50×10-2m£¬µÃµ½µÄÖ½´øµÄÒ»¶ÎÈçͼ£¨2£©Ëùʾ£¬ÇóµÃ½ÇËÙ¶ÈΪ______£®
¡¾´ð°¸¡¿·ÖÎö£ºÁ˽âʵÑéµÄ×°Öú͹¤×÷ÔÀí£®
¸ù¾ÝÔ²ÖÜÔ˶¯µÄ֪ʶ£¬ÀûÓÃʵÑéÊý¾Ý²âÁ¿³öÏßËÙ¶È£¬ÔÙ¸ù¾Ý¹«Ê½Çó³ö½ÇËÙ¶È£®
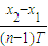
½â´ð£º½â£º£¨3£©¢Ù¸ù¾ÝÔ˶¯Ñ§¹«Ê½µÃ£º
Ö½´øµÄËÙ¶Èv=
¸ù¾ÝÔ²ÖÜÔ˶¯µÄ֪ʶµÃ£º
¦Ø=
=
ÆäÖÐTΪµç´Å´òµã¼ÆÊ±Æ÷´òµãµÄʱ¼ä¼ä¸ô£¬
rΪԲÅ̵İ뾶£¬x2¡¢x1ÊÇÖ½´øÉÏÑ¡¶¨µÄÁ½µã·Ö±ð¶ÔÓ¦µÄÃ׳ßÉϵĿ̶ÈÖµ£¬
nΪѡ¶¨µÄÁ½µã¼äµÄ´òµãÊý£¨º¬Á½µã£©
¢Ú°ë¾¶r=5.50×10-2m£¬¸ù¾ÝÖ½´øÑ¡È¡Ò»¶ÎÑо¿£¬Ö½´øÉÏѡȡÁ½µã¼ä¸ô¾¡¿ÉÄÜ´óЩ£®
¦Ø=
=6.8rad/s
¹Ê´ð°¸Îª£º¢Ù
¡¢ÆäÖÐTΪµç´Å´òµã¼ÆÊ±Æ÷´òµãµÄʱ¼ä¼ä¸ô£¬rΪԲÅ̵İ뾶£¬x2¡¢x1ÊÇÖ½´øÉÏÑ¡¶¨µÄÁ½µã·Ö±ð¶ÔÓ¦µÄÃ׳ßÉϵĿ̶ÈÖµ£¬nΪѡ¶¨µÄÁ½µã¼äµÄ´òµãÊý£¨º¬Á½µã£©
¢Ú6.8rad/s
µãÆÀ£ºÄܹ»Çå³þʵÑéµÄÔÀí£®Ö½´øÉÏѡȡÁ½µã¼ä¸ô¾¡¿ÉÄÜ´óЩ£®
ÖªµÀÔ²ÖÜÔ˶¯ÖÐÏßËٶȺͽÇËٶȼäµÄ¹ØÏµ£®
¸ù¾ÝÔ²ÖÜÔ˶¯µÄ֪ʶ£¬ÀûÓÃʵÑéÊý¾Ý²âÁ¿³öÏßËÙ¶È£¬ÔÙ¸ù¾Ý¹«Ê½Çó³ö½ÇËÙ¶È£®
½â´ð£º½â£º£¨3£©¢Ù¸ù¾ÝÔ˶¯Ñ§¹«Ê½µÃ£º
Ö½´øµÄËÙ¶Èv=
¸ù¾ÝÔ²ÖÜÔ˶¯µÄ֪ʶµÃ£º
¦Ø=
ÆäÖÐTΪµç´Å´òµã¼ÆÊ±Æ÷´òµãµÄʱ¼ä¼ä¸ô£¬
rΪԲÅ̵İ뾶£¬x2¡¢x1ÊÇÖ½´øÉÏÑ¡¶¨µÄÁ½µã·Ö±ð¶ÔÓ¦µÄÃ׳ßÉϵĿ̶ÈÖµ£¬
nΪѡ¶¨µÄÁ½µã¼äµÄ´òµãÊý£¨º¬Á½µã£©
¢Ú°ë¾¶r=5.50×10-2m£¬¸ù¾ÝÖ½´øÑ¡È¡Ò»¶ÎÑо¿£¬Ö½´øÉÏѡȡÁ½µã¼ä¸ô¾¡¿ÉÄÜ´óЩ£®
¦Ø=
¹Ê´ð°¸Îª£º¢Ù
¢Ú6.8rad/s
µãÆÀ£ºÄܹ»Çå³þʵÑéµÄÔÀí£®Ö½´øÉÏѡȡÁ½µã¼ä¸ô¾¡¿ÉÄÜ´óЩ£®
ÖªµÀÔ²ÖÜÔ˶¯ÖÐÏßËٶȺͽÇËٶȼäµÄ¹ØÏµ£®
Á·Ï°²áϵÁдð°¸
Ïà¹ØÌâÄ¿