题目内容

一列客车以v1的速度前进,司机突然发现前方轨道上有一列货车正以速度v2匀速同向前进(v1v2),货车车尾与客车车头的距离为s0.客车司机立即刹车,使客车以大小为a1的加速度作匀减速直线运动,而货车仍保持原速作匀速直线运动,问:客车的加速度大小符合什么条件,客车与货车才不会碰撞.

答案:
解析:

  答案:

  本题可用三种方法求解.

  方法1:(条件法)

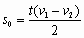
  客车速度由减小到等于即:时,有

  故:可求得结果.

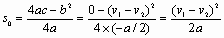
  方法2:(二次函数求极值)

  ,当

  

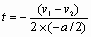
  方法3:(图象法)

  ,又,故


练习册系列答案
相关题目

违法和不良信息举报电话:027-86699610 举报邮箱:58377363@163.com

精英家教网