题目内容

某同学做用单摆测重力加速度的实验,该同学先测出了摆线长为l,摆球直径为d,然后沿单摆的周期:将摆球拉起一个很小的角度,然后放开,在摆球某次通过最低点时,按下停表开始计时,同时将此次通过最低点作为第1次,接着一直数到摆球第n次通过最低点时,按停表停止计时,读出这段时间为t,则该摆的摆长L=______,单摆的周期T=______,根据单摆的周期公式得出重力加速度g=______.
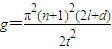
【答案】分析:单摆的摆长是从悬点到摆球的球心的距离;摆球两次经过最低点的时间间隔是半个周期,所以摆球通过最低点作为第1次停表开始计时到一直数到摆球第n次通过最低点,摆球经过了(n-1)个半个周期;根据单摆的周期公式:,重力加速度:
解答:解:(1)单摆的摆长是从悬点到摆球的球心的距离,;摆球两次经过最低点的时间间隔是半个周期,所以摆球通过最低点作为第1次停表开始计时到一直数到摆球第n次通过最低点,摆球经过了(n-1)个半个周期,所以单摆的周期:;根据单摆的周期公式:,重力加速度:.将T与L代入公式可得:
故答案为:
点评:该题考查单摆测重力加速度的实验的实验原理,其中摆长与单摆的周期的计算也是该实验中的一个注意事项.属于简单题.
练习册系列答案
相关题目
(2011?丰台区二模)(1)某同学做“用单摆测重力加速度”实验.
①用游标卡尺测量摆球直径d,把摆球用细线悬挂在铁架台上,用米尺测量出悬线长度l.某次测量摆球直径时游标卡尺示数部分如图所示,则摆球直径为d=
2.26
2.26
cm.

②在小钢球某次通过平衡位置时开始计时,并将这次通过平衡位置时记为0,数出以后小钢球通过平衡位置的次数为n,用停表记下所用的时间为t.请根据他的计数方法写出单摆周期的表达式:
2t
n
2t
n

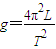
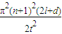
③用上面的测量数据计算重力加速度的表达式为g=
n2π2(l+
d
2
)
t2
n2π2(l+
d
2
)
t2

(2)某同学用图甲所示的电路测绘额定电压为3.0V的小灯泡伏安特性图线,并研究小灯泡实际功率及灯丝温度等问题.
①根据电路图,将图乙中的实验仪器连成完整的实验电路.
②连好电路后,开关闭合前,图甲中滑动变阻器R的滑片应置于
a端
a端
(填“a端”、“b端”或“ab正中间”).
③闭合开关,向b端调节滑动变阻器R的滑片,发现“电流表的示数为零,电压表的示数逐渐增大”,则分析电路的可能故障为
B
B

    A.小灯泡短路       B.小灯泡断路          C.电流表断路               D.滑动变阻器断路
④排除故障后,该同学完成了实验.根据实验数据,画出的小灯泡I--U图线如图.形成图中小灯泡伏安特性图线是曲线的原因为
灯丝的电阻随温度的升度而增大
灯丝的电阻随温度的升度而增大

⑤根据I--U图线,可确定小灯泡在电压为2.0V时实际功率为
0.78
0.78
.(保留两位有效数字).

⑥已知小灯泡灯丝在27℃时电阻是1.5Ω,并且小灯泡灯丝电阻值与灯丝温度的关系为R=k(273+t),k为比例常数.
根据I--U图线,估算该灯泡正常工作时灯丝的温度约为
°C.

违法和不良信息举报电话:027-86699610 举报邮箱:58377363@163.com

精英家教网