ÌâÄ¿ÄÚÈÝ

ÔÚÆ½ÃæÖ±½Ç×ø±êϵxOyÖУ¬µÚ¢ñÏóÏÞ´æÔÚÑØyÖḺ·½ÏòµÄÔÈÇ¿µç³¡£¬µÚ¢ôÏóÏÞ´æÔÚ´¹Ö±ÓÚ×ø±êÆ½ÃæÏòÍâµÄÔÈÇ¿´Å³¡£¬´Å¸ÐӦǿ¶ÈΪB¡£Ò»ÖÊÁ¿Îªm£®µçºÉÁ¿ÎªqµÄ´øÕýµçµÄÁ£×Ó´ÓyÖáÕý°ëÖáÉϵÄMµãÒÔËÙ¶Èv0´¹Ö±ÓÚyÖáÉäÈëµç³¡£¬¾­xÖáÉϵÄNµãÓëxÖáÕý·½Ïò³É¦È£½60¡ã½ÇÉäÈë´Å³¡£¬×îºó´ÓyÖḺ°ëÖáÉϵÄPµã´¹Ö±ÓÚyÖáÉä³ö´Å³¡£¬ÈçͼËùʾ¡£²»¼ÆÁ£×ÓÖØÁ¦£¬Çó£º

£¨1£©Á£×Ó¹ýNµãʱËÙ¶È £»

£¨2£©Á£×ÓÔڴų¡ÖÐÔ˶¯µÄ¹ìµÀ°ë¾¶r£»

£¨3£©Á£×Ó´ÓMµãÔ˶¯µ½PµãµÄ×Üʱ¼ät¡£

 

¡¾´ð°¸¡¿

£¨1£©£¨2£©£¨3£©

¡¾½âÎö¡¿

ÊÔÌâ·ÖÎö£º£¨1£©Ô˶¯¹ì¼£ÈçͼËùʾ£º

ÉèÁ£×Ó¹ýNµãʱËÙ¶Èv£¬ÓУ¬ËùÒÔ£¬     

£¨2£©Á£×ÓÔڴų¡ÖÐÒÔO/ΪԲ×öÔÈËÙÔ²ÖÜÔ˶¯£¬°ë¾¶ÎªO/N£¬ÓУ¬¹Ê  

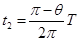
£¨3£©Óɼ¸ºÎ¹ØÏµµÃ    £¬Á£×ÓÔڵ糡ÖÐÔ˶¯µÄʱ¼ät1£¬ÓÐON£½v0t1 £¬ËùÒÔ

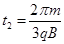
Á£×ÓÔڴų¡ÖÐ×öÔÈËÙÔ²ÖÜÔ˶¯µÄÖÜÆÚ£º¡¡¡¡

ÉèÁ£×ÓÔڴų¡ÖÐÔ˶¯µÄʱ¼ä£¬ÓÐ

µÃ£º

Á£×Ó´ÓMµãÔ˶¯µ½PµãµÄ×Üʱ¼ä

½«t1£®t2 ´úÈëµÃ£º

¿¼µã£º¿¼²éÁËÅ£¶ÙÔ˶¯¶¨ÂÉÓëµç´Å³¡×ÛºÏÓ¦ÓÃ

 

Á·Ï°²áϵÁдð°¸
Ïà¹ØÌâÄ¿

Î¥·¨ºÍ²»Á¼ÐÅÏ¢¾Ù±¨µç»°£º027-86699610 ¾Ù±¨ÓÊÏ䣺58377363@163.com

¾«Ó¢¼Ò½ÌÍø