题目内容

(14分)如图所示,固定于同一条竖直线上的A、B是两个带等量异种电荷的点电荷,电荷量分别为+Q和-Q,A、B相距为2d.MN是竖直放置的光滑绝缘细杆,另有一个穿过细杆的带电小球p,其质量为m、电荷量为+q(可视为点电荷,不影响电场的分布.),现将小球p从与点电荷A等高的C处由静止开始释放,小球p向下运动到距C点距离为d的O点时速度为v,已知MN与AB之间的距离为d,静电力常量为k,重力加速度为g.求:

(1)C、O间的电势差UCO

(2)小球p在O点时的加速度;

(3)小球p经过与点电荷B等高的D点时的速度大小.

 

【答案】

(1)(2)(3)

【解析】

试题分析:(1)小球p由C运动到O时,由动能定理,

得:                (+3分)

             (+1分)

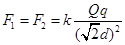
(2) 小球p经过O点时受力如图:

由库仑定律得:

           (+1分)

它们的合力为:       (+1分)

∴p在O点处的加速度         (+2分)

方向竖直向下            (+1分)

(3)由电场特点可知,在C、D间电场的分布是对称的    

即小球p由C运动到O与由O运动到D的过程中合外力做的功是相等的,  (+2分)

运用动能定理            (+2分)

解得           (+1分)

考点:小球下落过程中加速度变化,求解电势差利用动能定理;求解在O点的加速度,关键求出两点电荷在O点产生的电场力,再结合牛顿第二定律解答;由于是等量异种电荷产生的电场,O点在其连线的中垂线上,且CD关于O点对称,所以CO与OD的电势差大小相等,再结合动能定理求解即可.

 

练习册系列答案
相关题目

违法和不良信息举报电话:027-86699610 举报邮箱:58377363@163.com

精英家教网