题目内容

我国首个月球探测计划“嫦娥工程”将分三个阶段实施,大约用十年的时间完成,这极大地提高了同学们对月球的关注,以下是某位同学就有关月球的知识设计的两个问题,请你回答:

(1)若已知地球的半径为R,地球表面的重力加速度为g,月球绕地球运行的周期为T,且把月球绕地球的运行近似看作是匀速圆周运动.试求出月球绕地球运行的轨道半径.

(2)若某位宇航员随登月飞船登陆月球后,在月球某水平表面上方h高处以速度v0水平抛出一个小球,小球落回月球表面时与抛出点间的水平距离为s,已知月球的半径为R,引力常量为G,试求月球的质量M

答案:
解析:

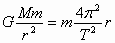
  解:(1)设地球的质量为M,月球的轨道半径为r,则:

   ①(2分)

  在地球表面有: ②(1分)

  由①②式得: ③(2分)

  (2)设月球表面的重力加速度为,由平抛运动规律得:

   ④(1分)

   ⑤(1分)

  由④⑤式得: ⑥(1分)

  在月球表面有: ⑦(1分)

  由⑥⑦式得: ⑧(1分)


练习册系列答案
相关题目

违法和不良信息举报电话:027-86699610 举报邮箱:58377363@163.com

精英家教网