题目内容

如图所示,光滑水平面上有两个质量分别为m1,和m2的小球12,它们在一条与右侧竖直墙壁垂直的直线上前后放置.设开始时球2静止,球1以速度v0对准球2运动,不计各种摩擦,所有碰撞都 是弹性的,如果要求两球只发生两次碰撞,试确定m1/m2比值的范围.

答案:
解析:

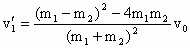
分别就m1m2m1m2m1m2三种情形作具体分析,即可求得为使两球只碰撞两次,m1/m2所应满足的条件.由弹性碰撞的知识可知:,式中v1v2取正值表示速度方向向右,取负值表示向左.第一次碰撞后,v2必为正;v1可能为正、零或负,由m1m2的比值决定.现分别讨论如下:(1)m1m2:球2以-v2左行,与以速度v1,右行的球1发生第二次碰撞,碰后球1与球2的速度分别为.因m1m2,故0,与墙壁碰撞后以速度-左行.为了不与球1发生第三次碰撞,首先要求球1左行,即:(m1m2)24m1m20,解得:.其次还要求碰撞后的球2追不上球1<-,即:4m1(m1m2)4m1m2(m1m2)2,解得:,由以上两个不等式,加上条件,得出的取值范围为:(2)m1m2:由完全弹性碰撞的规律,质量相同的两个球相碰后互换速度,所以第二次碰撞后球1和球2不会再次相碰.(3)m1m2:第一次碰撞后,球1左行,球2右行.球2碰墙后为了能追上球1作第二次碰撞,要求-v2v1,即:2m1m2m1,解得:,所以,的取值范围应为:.综上所述,为了使两球能够作二次碰撞,且只能作二次碰撞的条件是:


练习册系列答案
相关题目

违法和不良信息举报电话:027-86699610 举报邮箱:58377363@163.com

精英家教网