题目内容
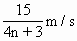
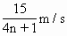
下图所示为一列简谐横波上两点P、Q的振动图象,P、Q相距30m.
(1)若P质点距振源近,该横波的波速多大?
(2)若Q质点距振源近,则横波的波速多大?
答案:
解析:
解析:
|
(1) (2) |
练习册系列答案
相关题目
题目内容
下图所示为一列简谐横波上两点P、Q的振动图象,P、Q相距30m.
(1)若P质点距振源近,该横波的波速多大?
(2)若Q质点距振源近,则横波的波速多大?
|
(1) (2) |