题目内容

在“研究平抛物体的运动”的实验中,某同学只根据重锤线在纸上记录了y轴方向,而忘记了记录抛出点位置,在坐标纸上描出了一段运动轨迹,如图所示.现在曲线上取A、B两点,量出它们到y轴的距离分别为,以及它们竖直高度差h,试根据图中所给数据计算出小球做平抛运动的初速度.如果根据坐标纸能够确定水平方向,但没有标明x轴和y轴,如何由一段轨迹求

答案:略
解析:

  要求初速度根据平抛运动的规律,水平位移,所以只需求出一段时间t即可.当然时间t应与x对应.

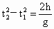
  设小球运动到A的时间为,下落高度为,到B的时间为,下落的高度为,则由

  由,得

  所以

  所以小球的初速度

  如果坐标纸只能确定水平方向而没有标明x轴和y轴,则可由以下方法确定大小.

  如图所示为选取的一段ABC,且ABC三点在工轴方向选取的距离相等且均为x,测出距离x的值以及ABC三点到某一水平线的竖直距离.则由平抛运动规律可知,小球从A运动到B和从B运动到C所用的时间相等,设为t

  在竖直方向上,AB竖直高度为BC的竖直高度为,则由匀变速直线运动规律可得,所以时间

  在水平方向上,小球做匀速直线运动,则可得

  


练习册系列答案
相关题目

违法和不良信息举报电话:027-86699610 举报邮箱:58377363@163.com

精英家教网