题目内容
A.1:2
B.1:4
C.1:10
D.1:12
【答案】分析:因为不知道小球的具体落地点,所以可分三种情况进行讨论:①两次小球都落在水平面BC上;②两次小球都落在斜面AB上;③第一次落在斜面AB上,第二次落在水平面BC上.再根据平抛运动的规律即可求解.
解答:解:本题可分三种情况进行讨论:
①若两次小球都落在BC水平面上,则下落的高度相同,所以运动的时间相同,水平距离之比等于水平初速度之比为1:2,故A答案正确;
②若两次小球都落在斜面AB上,设斜面倾角为θ,则有在沿斜面垂直的方向上(注意这只是一个分运动),小球作自由落体运动,设运动的时间分别为t1和t2,则:
第一次:tanθ=
第二次:tanθ=
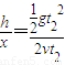
解得
所以
.
③若第一次落在斜面AB上,第二次落在水平面BC上,根据平抛运动的基本规律可知其水平位移比值在1:2到1:4之间.故A、B正确,C、D错误.
故选AB.
点评:本题不知道小球的具体落地点,所以要分三种情况进行讨论,然后根据平抛运动相关知识解题,对同学们分析问题的能力要求较高,很多同学不能考虑全面,难度偏大.
解答:解:本题可分三种情况进行讨论:
①若两次小球都落在BC水平面上,则下落的高度相同,所以运动的时间相同,水平距离之比等于水平初速度之比为1:2,故A答案正确;
②若两次小球都落在斜面AB上,设斜面倾角为θ,则有在沿斜面垂直的方向上(注意这只是一个分运动),小球作自由落体运动,设运动的时间分别为t1和t2,则:
第一次:tanθ=
第二次:tanθ=
解得
所以
③若第一次落在斜面AB上,第二次落在水平面BC上,根据平抛运动的基本规律可知其水平位移比值在1:2到1:4之间.故A、B正确,C、D错误.
故选AB.
点评:本题不知道小球的具体落地点,所以要分三种情况进行讨论,然后根据平抛运动相关知识解题,对同学们分析问题的能力要求较高,很多同学不能考虑全面,难度偏大.
练习册系列答案
相关题目