题目内容

(12分)如图所示,质量为m、带电荷量为+q的粒子,从两平行电极板正中央垂直电场线和磁感线以速度v飞入.已知两极间距为d,磁感应强度为B,这时粒子恰能沿直线穿过电场和磁场区域.今将磁感应强度增大到某值,则粒子将落到极板上.已知粒子重力不计,则粒子落到极板上时的动能为多少?

 

 

【答案】

【解析】

试题分析:带电粒子做匀速直线运动时,有

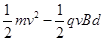
磁感应强度增大,则洛伦兹力增大,粒子向洛伦兹力方向偏转,当粒子到达极板时,电场力做负功,则:

解得:

考点:带电粒子在复合场中的运动

 

练习册系列答案
相关题目

违法和不良信息举报电话:027-86699610 举报邮箱:58377363@163.com

精英家教网