题目内容
已知地球的平均半径为6400km,地球表面的重力加速度
,万有引力常数
.试计算地球的质量.
答案:略
解析:
解析:
|
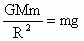
设地球的质量为 M,质量为m的物体处在地球的表面上,由万有引力与重力的关系可得:
即: |
练习册系列答案
相关题目
题目内容
已知地球的平均半径为6400km,地球表面的重力加速度
,万有引力常数
.试计算地球的质量.
|
设地球的质量为 M,质量为m的物体处在地球的表面上,由万有引力与重力的关系可得:
即: |