题目内容

如图所示,交流电源通过理想变压器对负载D供电,交流电源的输出电压随时间变化的关系是,理想变压器原、副线圈匝数比为,下列说法正确的是

A.交流电源输出电压的频率是100Hz

B.理想变压器输出电压的频率是100Hz

C.理想变压器输出电压是V

D.若负载D是光敏电阻,将原来照射D的光遮挡住,则电源输出功率减小

 

【答案】

D

【解析】

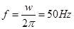
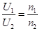
试题分析:由变压器的输入电压的瞬时值关系式可得,频率,而变压器不会改变电流的周期和频率,选项A、B均错误。由变压器原理,可得,变压器的输出电压是指有效值,故,选项C错误。光敏电阻D在光照减弱时,电阻增大,由,而不变,则增大,选项D正确。故选D。

考点:本题考查了变压器的原理、交变电流的四个值、动态分析电路。

 

练习册系列答案
相关题目
(1)在做“互成角度的两个共点力的合成”的实验中有以下实验步骤,其合理顺序是:
CFDBEA
CFDBEA
.(用相应字母表示)
A.通过改变两个拉力的大小和方向,从而改变橡皮条的伸长,再重复做几次;
B.只用一个弹簧秤,通过细绳把橡皮条的结点拉到同样的位置O,记下弹簧秤的读数和细绳的方向,按同样比例作出这个力F'的图示;
C.在桌面上放一块方木板,在木板上垫一张白纸,把橡皮条一端固定在木板的 A点;
D.记下两个弹簧秤的读数以及结点的位置,描下两条细绳的方向,在纸上按比例作出力F1和F2的图示,用平行四边形定则求出(作出)合力F;
E.比较力F’与用平行四边形定则求出的力F,看它们在实验误差范围内是否相等;
F.用两条细绳结在橡皮条的另一端(即结点),通过细绳用两个弹簧秤互成角度拉橡皮条,橡皮条伸长,使结点到达某一位置O;
(2)某实验小组的同学在用打点计时器探究小车的加速度a与的质量M之间关系的实验中,不改变拉力T (即牵拉小车的细线所吊挂砂桶与砂的重力mg一定),只改变小车的质量M,得到了如下表所示的几组实验数据.其中第3组数据还未算出加速度,但该组对应的纸带已经打出,如图所示.打点计时器接的是50Hz的低压交流电源,图中各点为每打5个点标出的计数点,测量长度的单位为cm.
实验次数 1 2 3 4 5 6
小车质量(g) 200 300 400 500 600 1000
小车加速度 (m/s2 2.00 1.33 0.79 0.67 0.40
小车质量倒数 (kg-1 5.00 3.33 2.50 2.00 1.67 1.00

①请由图中纸带上记录测量的数据,求出该次实验中:C点对应的瞬时速度vC=
0.35
0.35
m/s,O点对应的瞬时速度v0=
0.056
0.056
m/s,以及加速度a=
0.98
0.98
m/s2,并填入上表空缺中;(结果均保留两位有效数字)
②请在图示的坐标中,恰当选择研究变量,根据上面表格中对应的各组数据作出能够较直观反映实验规律的关系图线(用小“×”号描点,并据此作出平滑的图线);
③由②中作出的图象可以得出的结论是:
在拉力一定时,小车运动的加速度a与小车的质量M测绘那个反比
在拉力一定时,小车运动的加速度a与小车的质量M测绘那个反比

④该实验开始进行时,要先
要平衡摩擦阻力f
要平衡摩擦阻力f
,具体操作方法是:
适当垫高长木板不带定滑轮的一端,轻推未挂沙桶的小车,恰使拖有纸带的小车匀速下滑;
适当垫高长木板不带定滑轮的一端,轻推未挂沙桶的小车,恰使拖有纸带的小车匀速下滑;

违法和不良信息举报电话:027-86699610 举报邮箱:58377363@163.com

精英家教网