题目内容

(1)下列关于原子和原子核的说法正确的是______
A.β衰变现象说明电子是原子核的组成部分
B.波尔理论的假设之一是原子能量的量子化
C.氢原子光谱说明氢原子能级是分立的
D.比结合能越小表示原子核中的核子结合得越牢固
(2)质量分别为m1和m2的两个小球在光滑的水平面上分别以速度v1、v2同向运动并发生对心碰撞,碰后m2被右侧的墙原速弹回,又与m1相碰,碰后两球都静止.求:第一次碰后m1球的速度.

【答案】分析:(1)β衰变产生的电子是原子核中的一个中子转变为一个质子和一个电子,电子释放出来.玻尔理论假设之一就是原子能量的量子化.比结合能越大的原子核,核子结合得越牢固.
(2)两个球发生碰撞的过程中,系统受到外力的合力为零,故两个球构成的系统动量守恒,根据动量守恒定律联立方程组求解即可.
解答:解:(1)A、β衰变产生的电子,来自原子核,是原子核中的一个中子转变为一个质子和一个电子,电子释放出来,但是电子不是原子核的组成部分.故A错误.
B、波尔理论的假设之一是原子能量的量子化.故B正确.
C、氢原子光谱说明辐射的光子能量是量子化的,则氢原子能级是分立的.故C正确.
D、比结合能越大的原子核,核子结合得越牢固.
故选BC.
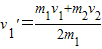
(2)两个球两次碰撞过程中,系统动量守恒,根据动量守恒定律得:
m1v1+m2v2=m1v1′+m2v2
m1v1′=m2v2
解得:
答:第一次碰后m1球的速度为
点评:本题考查了玻尔理论、衰变以及动量守恒定律,难度不大,关键要熟悉教材,加强训练.
练习册系列答案
相关题目
选做题(请从A、B和C三小题中选定两小题作答,并在答题卡上把所选题目对应字母后的方框涂满涂黑,如都作答则按A、B两小题评分.)
A.(选修模块3-3)
(1)下列说法中正确的是
B
B

A.布朗运动是分子的无规则热运动
B.气体分子间距离减小时,分子间斥力增大,引力也增大
C.导热性能各向同性的固体,一定不是单晶体
D.机械能不可能全部转化为内能
(2)如图1所示,一导热性能良好的金属气缸静放在水平面上,活塞与气缸壁间的摩擦不计.气缸内封闭了一定质量的理想气体.现缓慢地向活塞上倒一定质量的沙土,忽略环境温度的变化,在此过程中
CD
CD

A.气体的内能增大
B.气缸内分子平均动能增大
C.气缸内气体分子密度增大
D.单位时间内撞击气缸壁单位面积上的分子数增多

(3)在做用油膜法估测分子的大小实验中,油酸酒精溶液的浓度为每104mL溶液中有纯油酸6mL.用注射器测得50滴这样的溶液为1mL.把l滴该溶液滴入盛水的浅盘里,待水面稳定后,将玻璃板放在浅水盘上,在玻璃板上描出油膜的轮廓,随后把玻璃放在坐标纸上,其形状如图2所示,坐标纸正方形小方格的边长为20mm.则油酸膜的面积是
2.4×10-2
2.4×10-2
m2,每一滴油酸酒精溶液中含有纯油酸的体积是
1.2×10-11
1.2×10-11
m3,根据上述数据,可估算出油酸分子的直径.
B.(选修模块3-4)
(1)关于对光现象的解释,下列说法中正确的是
AC
AC

A.自然光斜射到玻璃表面时,反射光和折射光都是偏振光
B.水面上的油膜呈现彩色是光的衍射现象
C.光纤导光利用了光的全反射规律
D.玻璃中的气泡看起来特别明亮是光的干涉现象
(2)一列横波沿x轴正方向传播,在t0=0时刻的波形如图3所示,波刚好传到x=3m处,此后x=lm处的质点比x=-lm处的质点
(选填“先”、“后”或“同时”)到达波峰位置;若该波的波速为10m/s,经过△t时间,在x轴上-3m~3m区间内的波形与t0时刻的正好相同,则△t=
0.4ns(n=1,2,3┅)
0.4ns(n=1,2,3┅)

(3)某实验小组利用数字实验系统探究弹簧振子的运动规律,装置如图4所示,水平光滑导轨上的滑块与轻弹簧组成弹簧振子,滑块上固定有传感器的发射器.把弹簧拉长5cm由静止释放,滑块开始振动.他们分析位移一时间图象后发现,滑块的运动是简谐运动,滑块从最右端运动到最左端所用时间为ls,则弹簧振子的振动频率为
0.5
0.5
Hz;以释放的瞬时为初始时刻、向右为正方向,则滑块运动的表达式为x=
5cosлt
5cosлt
cm.

C.(选修模块3-5)
(1)下列关于原子和原子核的说法正确的是
B
B

A.β衰变现象说明电子是原子核的组成部分
B.波尔理论的假设之一是原子能量的量子化
C.放射性元素的半衰期随温度的升高而变短
D.比结合能越小表示原子核中的核子结合得越牢固
(2)一群氢原子处于量子数n=4能级状态,氢原子的能级      示意图如图5所示,那么
金属
逸出功W/eV 1.9 2.7 3.7 4.1
①氢原子可能发射
6
6
种频率的光子.
②氢原子由量子数n=4的能级跃迁到n=2的能级时辐射光子的频率是
6.15×1014
6.15×1014
Hz,用这样的光子照射右表中几种金属,金属
能发生光电效应,发生光电效应时,发射光电子的最大初动能是
0.65
0.65
eV.(普朗克常量h=6?63×10-34J?S,1eV=1.6×10-19J)
(3)在氘核
 
2
1
H
和氚核
 
3
1
H
结合成氦核
 
4
2
He
的核反应方程如下:
 
2
1
H+
 
3
1
H→
 
4
2
He+
 
1
0
n+17.6MeV

①这个核反应称为
聚变
聚变

②要发生这样的核反应,需要将反应物质的温度加热到几百万开尔文.式中17.6MeV是核反应中
放出
放出
(选填“放出”或“吸收”)的能量,核反应后生成物的总质量比核反应前物质的总质量
减少
减少
(选填“增加”或“减少”)了
3×10-29
3×10-29
㎏(保留一位有效数字)
选做题(请从A、B和C三小题中选定两小题作答,并在答题卡上把所选题目对应字母后的方框涂满涂黑,如都作答则按A、B两小题评分.)
A.(选修模块3-3)
(1)下列说法中正确的是______
A.布朗运动是分子的无规则热运动
B.气体分子间距离减小时,分子间斥力增大,引力也增大
C.导热性能各向同性的固体,一定不是单晶体
D.机械能不可能全部转化为内能
(2)如图1所示,一导热性能良好的金属气缸静放在水平面上,活塞与气缸壁间的摩擦不计.气缸内封闭了一定质量的理想气体.现缓慢地向活塞上倒一定质量的沙土,忽略环境温度的变化,在此过程中______
A.气体的内能增大
B.气缸内分子平均动能增大
C.气缸内气体分子密度增大
D.单位时间内撞击气缸壁单位面积上的分子数增多

精英家教网

(3)在做用油膜法估测分子的大小实验中,油酸酒精溶液的浓度为每104mL溶液中有纯油酸6mL.用注射器测得50滴这样的溶液为1mL.把l滴该溶液滴入盛水的浅盘里,待水面稳定后,将玻璃板放在浅水盘上,在玻璃板上描出油膜的轮廓,随后把玻璃放在坐标纸上,其形状如图2所示,坐标纸正方形小方格的边长为20mm.则油酸膜的面积是______m2,每一滴油酸酒精溶液中含有纯油酸的体积是______m3,根据上述数据,可估算出油酸分子的直径.
B.(选修模块3-4)
(1)关于对光现象的解释,下列说法中正确的是______.
A.自然光斜射到玻璃表面时,反射光和折射光都是偏振光
B.水面上的油膜呈现彩色是光的衍射现象
C.光纤导光利用了光的全反射规律
D.玻璃中的气泡看起来特别明亮是光的干涉现象
(2)一列横波沿x轴正方向传播,在t0=0时刻的波形如图3所示,波刚好传到x=3m处,此后x=lm处的质点比x=-lm处的质点______(选填“先”、“后”或“同时”)到达波峰位置;若该波的波速为10m/s,经过△t时间,在x轴上-3m~3m区间内的波形与t0时刻的正好相同,则△t=______.
(3)某实验小组利用数字实验系统探究弹簧振子的运动规律,装置如图4所示,水平光滑导轨上的滑块与轻弹簧组成弹簧振子,滑块上固定有传感器的发射器.把弹簧拉长5cm由静止释放,滑块开始振动.他们分析位移一时间图象后发现,滑块的运动是简谐运动,滑块从最右端运动到最左端所用时间为ls,则弹簧振子的振动频率为______Hz;以释放的瞬时为初始时刻、向右为正方向,则滑块运动的表达式为x=______cm.

精英家教网

C.(选修模块3-5)
(1)下列关于原子和原子核的说法正确的是______.
A.β衰变现象说明电子是原子核的组成部分
B.波尔理论的假设之一是原子能量的量子化
C.放射性元素的半衰期随温度的升高而变短
D.比结合能越小表示原子核中的核子结合得越牢固
(2)一群氢原子处于量子数n=4能级状态,氢原子的能级      示意图如图5所示,那么
金属
逸出功W/eV 1.9 2.7 3.7 4.1
①氢原子可能发射______种频率的光子.
②氢原子由量子数n=4的能级跃迁到n=2的能级时辐射光子的频率是______Hz,用这样的光子照射右表中几种金属,金属______能发生光电效应,发生光电效应时,发射光电子的最大初动能是______eV.(普朗克常量h=6?63×10-34J?S,1eV=1.6×10-19J)
(3)在氘核
 21
H
和氚核
 31
H
结合成氦核
 42
He
的核反应方程如下:
 21
H+
 31
H→
 42
He+
 10
n+17.6MeV

①这个核反应称为______
②要发生这样的核反应,需要将反应物质的温度加热到几百万开尔文.式中17.6MeV是核反应中______(选填“放出”或“吸收”)的能量,核反应后生成物的总质量比核反应前物质的总质量______(选填“增加”或“减少”)了______㎏(保留一位有效数字)

违法和不良信息举报电话:027-86699610 举报邮箱:58377363@163.com

精英家教网