ÌâÄ¿ÄÚÈÝ
2011Äê7ÔÂ23ÈÕÍíÉÏ20µã30·Ö×óÓÒ£¬ð®ÎÂÏßÓÀ¼ÎÕ¾ÖÁÎÂÖÝÄÏÕ¾¼ä£¬±±¾©ÄÏÖÁ¸£ÖÝD301´ÎÁгµÓ뺼ÖÝÖÁ¸£ÖÝÄÏD3115´ÎÁгµ·¢Éú׷βʹʣ®Ê¹ÊÒÑÔì³É40ÈËËÀÍö£¬200¶àÈËÊÜÉË£®Ê·¢µ±ÍíÕýÖµ´óÓ꣬˾»úÖ»Äܼûµ½Ç°·½100Ã×£¬ÒÑÖª´ËʱD301ÁгµÐÐÊ»ËÙ¶ÈΪ180km/h£¬½ô¼±É²³µ²úÉú8m/s2µÄ¼ÓËÙ¶È£¬Ë¾»ú·´Ó¦Ê±¼äΪ0.3s£¬ÎÊ£º£¨1£©ÈôÁгµD3115ÒòÍ»·¢¹ÊÕÏÍ£ÔÚǰ·½£¬ºóÃæµÄD301ÁгµÄÜ·ñײÉÏÇ°ÃæµÄD3115Áгµ£¿
£¨2£©Èô²»¿¼ÂÇ·´Ó¦Ê±¼ä£¬ÁгµD3115ÒÔ10m/sµÄËÙ¶ÈÔÚǰ·½ÏòǰÐÐÊ»£¬ÄÜ·ñ·¢ÉúÅöײʼþ£¿
¡¾´ð°¸¡¿·ÖÎö£º£¨1£©ÁгµÔÚ˾»ú·´Ó¦Ê±¼äÄÚÈÔ×öÔÈËÙÔ˶¯£¬É²³µºóÁгµ×öÔȼõËÙÔ˶¯£¬·Ö±ðÇó³öÕâÁ½¸ö¹ý³ÌÎ»ÒÆ£¬¸ù¾Ý×ÜÎ»ÒÆÓë100mµÄ¹ØÏµ£¬ÅжÏÄÜ·ñÏàײ£®
£¨2£©ÈôÁгµD3115ÒÔ10m/sµÄËÙ¶ÈÔÚǰ·½ÏòǰÐÐÊ»£¬µ±D301ÁгµÔÚËٶȼõСµ½10m/sʱ׷²»ÉÏ£¬Ôò²»»á·¢Éúʹʣ¬ÓÉËٶȹ«Ê½Çó³öD301ÁгµËٶȼõÖÁ10m/sµÄʱ¼ä£¬ÓÉÎ»ÒÆ¹«Ê½·Ö±ðÇó³öÕâ¶Îʱ¼äÄÚÁ½³µµÄÎ»ÒÆ£¬¸ù¾ÝÎ»ÒÆ¹ØÏµÅжÏÄÜ·ñÏàײ£®
½â´ð£º½â£º£¨1£©ÁгµµÄËÙ¶Èv=180km/s=50m/s a=-8m/s2 ·´Ó¦Ê±¼ät=0.3s
Ôò˾»úµÄ·´Ó¦¾àÀëΪ S1=vt ¡¢Ù
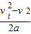
ɲ³µ¾àÀëS2=
¡¢Ú
Í£³µ¾àÀëS=S1+S2 ¡¢Û
ÁªºÏ¢Ù¢Ú¢Ûʽ´úÈëÊý¾Ý½âµÃ
S=171.25m£¾100m
ËùÒÔD301Áгµ»áײÉÏÇ°ÃæD3115Áгµ£®
£¨2£©ÈôD301ÁгµÔÚËٶȼõСµ½10m/sʱ׷²»ÉÏ£¬Ôò²»»á·¢ÉúʹÊ
ÓÉvt=v-atµÃt=
´úÈëÊý¾ÝÇóµÃt=5s
ÁгµÔÚt=5sÄÚD3115ͨ¹ýµÄÎ»ÒÆx=vt=10×5m=50m
ÁгµD301 ͨ¹ýÎ»ÒÆX=
=
m=150m
ÒòX=150m=x+100m
ËùÒÔÁгµD301Ç¡ºÃ×·Éϵ«²»Åöײ
´ð£º
£¨1£©ÈôÁгµD3115ÒòÍ»·¢¹ÊÕÏÍ£ÔÚǰ·½£¬ºóÃæµÄD301ÁгµÄÜײÉÏÇ°ÃæµÄD3115Áгµ
£¨2£©Èô²»¿¼ÂÇ·´Ó¦Ê±¼ä£¬ÁгµD3115ÒÔ10m/sµÄËÙ¶ÈÔÚǰ·½ÏòǰÐÐÊ»£¬Ç¡ºÃ×·Éϵ«²»Åöײ£®
µãÆÀ£º±¾ÌâÊÇ×·¼°ÎÊÌ⣬ÔÚ·Ö±ðÑо¿Á½³µÔ˶¯µÄ»ù´¡ÉÏ£¬¹Ø¼üҪѰÕÒÁ½³µÖ®¼äµÄ¹ØÏµ£¬±ÈÈçÎ»ÒÆ¹ØÏµºÍËٶȹØÏµ£¬×¢ÒâÍÚ¾òÒþº¬µÄÁÙ½çÌõ¼þ£®
£¨2£©ÈôÁгµD3115ÒÔ10m/sµÄËÙ¶ÈÔÚǰ·½ÏòǰÐÐÊ»£¬µ±D301ÁгµÔÚËٶȼõСµ½10m/sʱ׷²»ÉÏ£¬Ôò²»»á·¢Éúʹʣ¬ÓÉËٶȹ«Ê½Çó³öD301ÁгµËٶȼõÖÁ10m/sµÄʱ¼ä£¬ÓÉÎ»ÒÆ¹«Ê½·Ö±ðÇó³öÕâ¶Îʱ¼äÄÚÁ½³µµÄÎ»ÒÆ£¬¸ù¾ÝÎ»ÒÆ¹ØÏµÅжÏÄÜ·ñÏàײ£®
½â´ð£º½â£º£¨1£©ÁгµµÄËÙ¶Èv=180km/s=50m/s a=-8m/s2 ·´Ó¦Ê±¼ät=0.3s
Ôò˾»úµÄ·´Ó¦¾àÀëΪ S1=vt ¡¢Ù
ɲ³µ¾àÀëS2=
Í£³µ¾àÀëS=S1+S2 ¡¢Û
ÁªºÏ¢Ù¢Ú¢Ûʽ´úÈëÊý¾Ý½âµÃ
S=171.25m£¾100m
ËùÒÔD301Áгµ»áײÉÏÇ°ÃæD3115Áгµ£®
£¨2£©ÈôD301ÁгµÔÚËٶȼõСµ½10m/sʱ׷²»ÉÏ£¬Ôò²»»á·¢ÉúʹÊ
ÓÉvt=v-atµÃt=
´úÈëÊý¾ÝÇóµÃt=5s
ÁгµÔÚt=5sÄÚD3115ͨ¹ýµÄÎ»ÒÆx=vt=10×5m=50m
ÁгµD301 ͨ¹ýÎ»ÒÆX=
ÒòX=150m=x+100m
ËùÒÔÁгµD301Ç¡ºÃ×·Éϵ«²»Åöײ
´ð£º
£¨1£©ÈôÁгµD3115ÒòÍ»·¢¹ÊÕÏÍ£ÔÚǰ·½£¬ºóÃæµÄD301ÁгµÄÜײÉÏÇ°ÃæµÄD3115Áгµ
£¨2£©Èô²»¿¼ÂÇ·´Ó¦Ê±¼ä£¬ÁгµD3115ÒÔ10m/sµÄËÙ¶ÈÔÚǰ·½ÏòǰÐÐÊ»£¬Ç¡ºÃ×·Éϵ«²»Åöײ£®
µãÆÀ£º±¾ÌâÊÇ×·¼°ÎÊÌ⣬ÔÚ·Ö±ðÑо¿Á½³µÔ˶¯µÄ»ù´¡ÉÏ£¬¹Ø¼üҪѰÕÒÁ½³µÖ®¼äµÄ¹ØÏµ£¬±ÈÈçÎ»ÒÆ¹ØÏµºÍËٶȹØÏµ£¬×¢ÒâÍÚ¾òÒþº¬µÄÁÙ½çÌõ¼þ£®
Á·Ï°²áϵÁдð°¸
Ïà¹ØÌâÄ¿
2011Äê7ÔÂ23ÈÕÔÚÉϺ£ÊÀ½õÈüÖУ¬Ô˶¯Ô±ÎâÃôϼÔÚÅ®×Ó3m°åµ¥ÈËÌøË®¾öÈüÖлñµÃ¹Ú¾ü£¬Ôò¹ØÓÚÎâÃôϼÔÚÀë¿ªÌø°åµ½½øÈëË®ÃæÖ®Ç°µÄ¹ý³ÌÖУ¬ÏÂÁÐ˵·¨ÕýÈ·µÄÊÇ£¨¡¡¡¡£©
| A¡¢ÉÏÉý¹ý³ÌÊdz¬ÖØ£¬ÏÂÂä¹ý³ÌÊÇÊ§ÖØ | B¡¢ÉÏÉý¹ý³ÌÊÇÊ§ÖØ£¬ÏÂÂä¹ý³ÌÊdz¬ÖØ | C¡¢Õû¸ö¹ý³Ì¾ùÎªÊ§ÖØ | D¡¢Õû¸ö¹ý³Ì¾ùΪ³¬ÖØ |