题目内容
(1)当时的大气压强;
(2)图乙状态时温度升高到多少℃时,活塞将与气缸脱离?
【答案】分析:对圆柱形气缸和活塞进行受力分析,根据力的平衡知识列出等式表示出理想气体的压强.
抓住等温变化列出等式解出未知量.
研究图乙状态时,一定质量的理想气体温度升高,在活塞将与气缸脱离前发生的是等压变化.
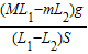
解答:解:(1)在甲图中对圆柱形气缸进行受力分析得:p1=p-
,
在乙图中对活塞进行受力分析得:p2=p-
,
一定质量的理想气体从甲图到乙图发生的是等温变化,所以得:p1L1S=p2L2S
所以(p-
)L1S=(p-
)L2S,
可解得p =
(2)图乙状态时,一定质量的理想气体温度升高,在活塞将与气缸脱离前发生的是等压变化,得:
=
得 t=
-273
答:(1)当时的大气压强为
;
(2)图乙状态时温度升高到
-273°C时,活塞将与气缸脱离.
点评:能够把力学中的受力分析和平衡知识运用到理想气体变化的问题中.
根据题目找出气体的变化的物理量和不变的物理量.
抓住等温变化列出等式解出未知量.
研究图乙状态时,一定质量的理想气体温度升高,在活塞将与气缸脱离前发生的是等压变化.
解答:解:(1)在甲图中对圆柱形气缸进行受力分析得:p1=p-
在乙图中对活塞进行受力分析得:p2=p-
一定质量的理想气体从甲图到乙图发生的是等温变化,所以得:p1L1S=p2L2S
所以(p-
可解得p =
(2)图乙状态时,一定质量的理想气体温度升高,在活塞将与气缸脱离前发生的是等压变化,得:
得 t=
答:(1)当时的大气压强为
(2)图乙状态时温度升高到
点评:能够把力学中的受力分析和平衡知识运用到理想气体变化的问题中.
根据题目找出气体的变化的物理量和不变的物理量.
练习册系列答案
相关题目