题目内容
跳伞运动员从悬停在350m高空中的飞机上自由下落一段距离后才打开降落伞,设开伞后以大小为2m/s2的加速度匀减速直线下降,到达地面时的速度为4m/s,取g为10m/s2. 求:跳伞运动员自由下落的距离.
【答案】分析:运动员先向下做自由落体运动,后做匀减速直线运动,位移之和等于高度,
解答:解:设自由下落时间为t1,自由下落距离为h1,

开伞时速度为v1;
v1=gt1=10t1
开伞后减速运动时间为t2,减速下落距离为h2


∵h1+h2=350m
∴解得:
所以自由下落的高度为:
答:自由下落的高度为59m
点评:本题是多过程问题,在分别研究各个运动过程的基础上,关键是寻找各过程之间的关系,如位移关系、时间关系、速度关系等等.
解答:解:设自由下落时间为t1,自由下落距离为h1,
开伞时速度为v1;
v1=gt1=10t1
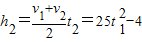
开伞后减速运动时间为t2,减速下落距离为h2
∵h1+h2=350m
∴解得:
所以自由下落的高度为:
答:自由下落的高度为59m
点评:本题是多过程问题,在分别研究各个运动过程的基础上,关键是寻找各过程之间的关系,如位移关系、时间关系、速度关系等等.
练习册系列答案
相关题目