ÌâÄ¿ÄÚÈÝ
ÔڲⶨÔȱäËÙÖ±ÏßÔ˶¯µÄ¼ÓËٶȵÄʵÑéÖУ¬Ê¹Óôòµã¼ÆÊ±Æ÷²âÁ¿Ð¡³µ×öÔȱäËÙÖ±ÏßÔ˶¯µÄ¼ÓËÙ¶È£¬ÊµÑéµÃµ½µÄÒ»ÌõÖ½´øÈçÏÂͼËùʾ£¬0¡¢1¡¢2¡¢3¡¢4¡ÊÇÑ¡ÓõļÆÊýµã£¬Ã¿ÏàÁڵļÆÊýµã¼ä»¹ÓÐ4¸ö´ò³öµÄµãûÓÐÔÚͼÉϱê³ö£¬´òµã¼ÆÊ±Æ÷´òµãµÄʱ¼ä¼ä¸ôΪ0.02s£®Í¼Öл¹»³öÁËij´ÎʵÑ齫×îС¿Ì¶ÈΪºÁÃ׵Ŀ̶ȳ߿¿ÔÚÖ½´øÉϽøÐвâÁ¿µÄÇé¿ö£¬¶Á³öͼÖÐËù¸øµÄ²âÁ¿µã0¡¢1¡¢3¡¢4µÄ¶ÁÊý·Ö±ðÊÇ£º10.00cm¡¢12.60cm¡¢22.60cm¡¢ cm£¨µã2µÄ¶ÁÊýδ¶Á³ö£©£®¼ÆËã³ö´òϵÚ2¸ö¼ÆÊýµãʱµÄËÙ¶ÈÊÇ m/s£¬ÎïÌåµÄ¼ÓËٶȵĴóСÊÇ m/s2£®
¡¾´ð°¸¡¿·ÖÎö£ºÖªµÀ´òµã¼ÆÊ±Æ÷µÄ½á¹¹ºÍ¸÷²¿·ÖµÄ¹¦ÄÜ£®
ÀûÓúÁÃ׿̶ȳ߶Á³ö¼ÆÊýµãµÄ¾àÀ룮
Ó¦ÓÃÔ˶¯Ñ§¹«Ê½ÍÆÂÛ¡÷x=at2Çó³ö¼ÓËÙ¶È£®
½â´ð£º½â£ºÍ¼ÖÐËù¸øµÄ¼ÆÊýµã4µÄ¶ÁÊýÊÇ30.00cm
ÿÏàÁڵļÆÊýµã¼ä»¹ÓÐ4¸ö´ò³öµÄµãûÓÐÔÚͼÉϱê³ö£¬ËùÒÔÏàÁڵļÆÊýµãʱ¼ä¼ä¸ôÊÇ0.1s
¸ù¾ÝÔȱäËÙÖ±ÏßÔ˶¯ÖÐʱ¼äÖеãµÄËٶȵÈÓڸùý³ÌÖÐµÄÆ½¾ùËÙ¶È£¬
v2=
=0.50m/s£¬
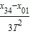
¸ù¾ÝÔ˶¯Ñ§¹«Ê½ÍÆÂÛ¡÷x=at2µÃ£º
a=
=1.60 m/s2
¹Ê´ð°¸Îª£º30.00cm£¬0.50m/s£¬1.60m/s£®
µãÆÀ£ºÖªµÀºÁÃ׿̶ȳ߶ÁÊýʱҪ½øÐйÀ¶Á£®
×¢Òâ¼ÆÊýµãµÄѡȡʱÏàÁÚµÄʱ¼ä¼ä¸ô£®
ÀûÓúÁÃ׿̶ȳ߶Á³ö¼ÆÊýµãµÄ¾àÀ룮
Ó¦ÓÃÔ˶¯Ñ§¹«Ê½ÍÆÂÛ¡÷x=at2Çó³ö¼ÓËÙ¶È£®
½â´ð£º½â£ºÍ¼ÖÐËù¸øµÄ¼ÆÊýµã4µÄ¶ÁÊýÊÇ30.00cm
ÿÏàÁڵļÆÊýµã¼ä»¹ÓÐ4¸ö´ò³öµÄµãûÓÐÔÚͼÉϱê³ö£¬ËùÒÔÏàÁڵļÆÊýµãʱ¼ä¼ä¸ôÊÇ0.1s
¸ù¾ÝÔȱäËÙÖ±ÏßÔ˶¯ÖÐʱ¼äÖеãµÄËٶȵÈÓڸùý³ÌÖÐµÄÆ½¾ùËÙ¶È£¬
v2=
¸ù¾ÝÔ˶¯Ñ§¹«Ê½ÍÆÂÛ¡÷x=at2µÃ£º
a=
¹Ê´ð°¸Îª£º30.00cm£¬0.50m/s£¬1.60m/s£®
µãÆÀ£ºÖªµÀºÁÃ׿̶ȳ߶ÁÊýʱҪ½øÐйÀ¶Á£®
×¢Òâ¼ÆÊýµãµÄѡȡʱÏàÁÚµÄʱ¼ä¼ä¸ô£®
Á·Ï°²áϵÁдð°¸
Ïà¹ØÌâÄ¿