题目内容
A、B两球之间压缩一根轻弹簧,静置于光滑水平桌面上.已知A、B两球质量分别为2m和m.当用板挡住A球而只释放B球时,B球被弹出落于距桌面水平距离为s的水平地面上,如图,问当用同样的程度压缩弹簧,取走A左边的挡板,将A、B同时释放,B球的落地点距桌面距离为( )A.
B.
C.s
D.
【答案】分析:A、B两球之间压缩一根轻弹簧,当用板挡住A球而只释放B球时,弹性势能完全转化为B球的动能,以一定的初速度抛出,借助于抛出水平位移可确定弹簧的弹性势能.当用同样的程度压缩弹簧,取走A左边的挡板,将A、B同时释放,由动量守恒定律与机械能守恒定律可求出B球获得的速度,再由平抛运动规律可算出抛出的水平位移.
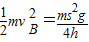
解答:解:当用板挡住A球而只释放B球时,B球做平抛运动.设高度为h,则有
,所以弹性势能为E=
当用同样的程度压缩弹簧,取走A左边的挡板,将A、B同时释放,由动量守恒定律可得:0=2mvA-mvB 所以vA:vB=1:2.因此A球与B球获得的动能之比EkA:EkB=1:2.所以B球的获得动能为:
.
那么B球抛出初速度为
,则平抛后落地水平位移为
故选:D
点评:考查动量守恒定律、机械能守恒定律,及平抛运动规律.两种情况下,弹性势能完全相同.在弹簧恢复过程中弹性势能转化为动能.
解答:解:当用板挡住A球而只释放B球时,B球做平抛运动.设高度为h,则有
当用同样的程度压缩弹簧,取走A左边的挡板,将A、B同时释放,由动量守恒定律可得:0=2mvA-mvB 所以vA:vB=1:2.因此A球与B球获得的动能之比EkA:EkB=1:2.所以B球的获得动能为:
那么B球抛出初速度为
故选:D
点评:考查动量守恒定律、机械能守恒定律,及平抛运动规律.两种情况下,弹性势能完全相同.在弹簧恢复过程中弹性势能转化为动能.
练习册系列答案
相关题目