题目内容
如图所示,一平直的传送带以速度v=2m/s匀速运动,传送带把A处的工件运送到B处,A、B相距L=10m.从A处把工件无初速地放到传送带上,经过时间t=6s能传送到B处.求:(1)工件在传送带上做匀加速运动的时间;
(2)工件做匀加速运动的加速度大小.
【答案】分析:(1)物体若一直做匀加速直线运动,则平均速度
,根据工件的位移和运动时间求出平均速度,判断出工件的运动情况,再根据运动学公式,抓住总位移为10m,求出匀加速运动的时间.
(2)根据匀变速直线运动的速度时间公式求出匀加速直线运动的加速度.
解答:解:(1)工件从A到B的平均速度:
.
这说明工件在6s内先做匀加速直线运动,后做匀速直线运动.
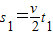
设工件做匀加速直线运动的时间为t1,则:
,s2=v(t-t1) 且s1+s2=L
联立解得:t1=2s
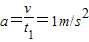
(2)工件做匀加速运动的加速度:
.
答:(1)工件在传送带上做匀加速运动的时间为2s.
(2)工件做匀加速运动的加速度大小为1m/s2.
点评:解决本题的关键判断出工件的运动情况,根据匀变速直线运动的公式进行求解.
(2)根据匀变速直线运动的速度时间公式求出匀加速直线运动的加速度.
解答:解:(1)工件从A到B的平均速度:
这说明工件在6s内先做匀加速直线运动,后做匀速直线运动.
设工件做匀加速直线运动的时间为t1,则:
联立解得:t1=2s
(2)工件做匀加速运动的加速度:
答:(1)工件在传送带上做匀加速运动的时间为2s.
(2)工件做匀加速运动的加速度大小为1m/s2.
点评:解决本题的关键判断出工件的运动情况,根据匀变速直线运动的公式进行求解.
练习册系列答案
相关题目