题目内容

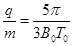
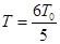
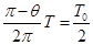
(14分)如图甲所示,在xOy坐标平面y轴左侧有一速度选择器,速度选择器中的匀强电场方向竖直向下,两板间的电压为U,距离为d;匀强磁场磁感应强度大小为B、方向垂直纸面向里。xOy坐标平面的第一象限(包括x、y轴)内存在磁感应强度大小为BO、方向垂直于xOy平面且随时间做周期性变化的匀强磁场,如图乙所示(磁场方向垂直xOy平面向里的为正)。一束比荷不同的带正电的粒子恰能沿直线通过速度选择器,在t=0时刻从坐标原点O垂直射人周期性变化的磁场中。部分粒子经过一个磁场变化周期TO后,速度方向恰好沿x轴正方向。不计粒子的重力,求:

  (1)粒子进入周期性变化的磁场的速度”;

  (2)请用三角板和圆规作出经一个磁场变化周期TO后,速度方向恰好沿x轴正方向,且此时纵坐标最大的粒子的运动轨迹,并求出这种粒子的比荷上

  (3)在(2)中所述的粒子速度方向恰好沿x轴正方向时的纵坐标y。

 

【答案】

(1)(2)(3)

【解析】2

试题分析:(1)粒子沿直线通过速度选择器,即受力平衡,

(2)根据磁场的周期性变化,粒子在匀强磁场中的圆周运动轨迹也是对称的,只要没有离开磁场,经过一个磁场变化周期后速度都会沿X轴正向,即与初速度方向同。恰好不离开磁场时,纵坐标最大,如下图

设粒子在匀强磁场中运动的半径为R,则根据上图中几何关系得,即

设粒子圆周运动周期为T,则有

所以

根据带电粒子在匀强磁场中做匀速圆周运动,有圆周运动的周期

整理可得

(3)有几何关系可得

带电粒子在匀强磁场中做圆周运动

整理得

考点:带电粒子在匀强磁场中的运动

 

练习册系列答案
相关题目
A.如图甲所示,质量为m的不带电绝缘小物块B静止在b点,绝缘水平轨道abc与绝缘光滑圆弧轨道cd平滑连接,d为cd轨道的最高点.质量为m、电量为+q的小物块A以初速度v0=
7gl0
自a点开始水平向右运动,到达b点与小物块B发生正碰,碰撞后A、B粘合在一起不再分离.与此同时,在分界面bb'与分界面cc'之间的空间内附加一水平向左的电场,设小物块AB进入电场时为t=0时刻,电场随时间变化的图象如图乙所示,已知场强E=
2mg
q
T0=
2l0
g
,a、b两点距离为l0,电场的宽度为 
l0
4
<L<l0
,d点高度为l0,小物块A、B与水平轨道的动摩擦因数μ=0.5,其余摩擦不计,小物块A、B均视为质点.重力加速度用g表示.求:
(1)小物块A到达b点即将与小物块B碰撞前的速度vA大小.
(2)自小物块A从a点开始运动到小物块A、B第一次离开电场,试讨论在这个过程中摩擦力对小物块A、B做的总功Wf与L的关系
(3)判断小物块AB能否上滑到cd轨道的d点.

B.如图丙所示,a、b两滑块原来紧靠在一起,静止在水平面上的A点,滑块a、b的质量分别为m、2m,物块与水平地面间的动摩擦因数为0.1,B点为圆轨道的最低点,A、B之间的距离为5R.现在a、b在某种内力的作用下突然分开,a以va=3
gR
的速度由A点开始向B点滑行,并滑上光滑的半径为R的 
1
4
圆弧BC,在C点正上方有一离C点高度也为R的旋转平台,沿平台直径方向开有两个离轴心距离相等的小孔P、Q,旋转时两孔均能达到C点的正上方.若滑块滑过C点后从P孔上升又恰能从Q孔落下,求
(1)分开后b球获得的速度vb
(2)滑块a在B点时对轨道的压力;
(3)滑块上升至P点时的速度vP
(4)平台转动的角速度ω应满足什么条件?

违法和不良信息举报电话:027-86699610 举报邮箱:58377363@163.com

精英家教网