题目内容
如图所示,一小球从A点由静止开始沿斜面做匀变速直线运动,若到达B点时速度为v,到达C点时速度为2v,则AB:BC等于( )A.1:l
B.1:2
C.1:3
D.1:4
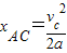
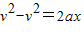
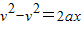
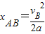
【答案】分析:根据匀变速直线运动的速度位移公式
求出AB、AC之比,从而求出AB、BC之比.
解答:解:根据匀变速直线运动的速度位移公式
知,
,
,所以AB:AC=1:4,Z则AB:BC=1:3.故C正确,A、B、D错误.
故选C.
点评:解决本题的关键掌握匀变速直线运动的速度位移公式
.
解答:解:根据匀变速直线运动的速度位移公式
故选C.
点评:解决本题的关键掌握匀变速直线运动的速度位移公式
练习册系列答案
相关题目