题目内容
某同学用如图甲所示的实验装置,做《用双缝干涉测光的波长》的实验,他用带有游标尺的测量头(如图乙所示)测量相邻两条亮条纹间的距离△x.转动测量头的手轮,使分划板的中心刻线对齐某一条亮条纹(将这一条纹确定为第一亮条纹)的中心,此时游标尺上的示数情况如图丙所示,读数用x1表示;转动测量头的手轮,使分划板的中心刻线对齐第6亮条纹的中心,此时游标尺上的示数情况如图丁所示,则图丙的示数x1=______mm;则图丁的示数x2=______mm.如果实验中所用的双缝间的距离d=0.20mm,双缝到屏的距离L=60cm,则计算波长的表达式λ=______(用d、L、x1、x2表示).根据以上数据,可得实验中测出的光的波长λ=______m.
【答案】分析:游标卡尺的读数等于主尺读数加上游标读数,不需估读.根据双缝干涉条纹的间距公式
推导波长的表达式,并求出波长的大小.
解答:解:图丙中的主尺读数为0,游标读数为0.05×3mm=0.15mm,所以最终读数为0.15mm.图丁中的主尺读数为8mm,游标读数为0.05×19mm=0.95mm,所以最终读数为8.95mm.
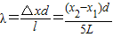
根据双缝干涉条纹的间距公式
得,
.代入数据得,λ=6.6×10-7m.
故答案为:0.15,8.95,
,6.6×10-7.
点评:解决本题的关键掌握游标卡尺的读数方法,以及掌握双缝干涉条纹的间距公式
.
解答:解:图丙中的主尺读数为0,游标读数为0.05×3mm=0.15mm,所以最终读数为0.15mm.图丁中的主尺读数为8mm,游标读数为0.05×19mm=0.95mm,所以最终读数为8.95mm.
根据双缝干涉条纹的间距公式
故答案为:0.15,8.95,
点评:解决本题的关键掌握游标卡尺的读数方法,以及掌握双缝干涉条纹的间距公式
练习册系列答案
相关题目