题目内容

一辆汽车以10m/s的速度匀速行驶,要求它刹车时必须在5m内停下来,则汽车加速度的数值不得小于    m/s2
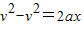
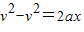
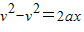
【答案】分析:汽车刹车后做匀减速直线运动,根据速度位移公式求出刹车后做匀减速直线运动的加速度.
解答:解:根据速度位移公式,得a==.所以汽车加速度的数值不得小于10m/s2
故本题答案为:10.
点评:解决本题的关键掌握速度位移公式
练习册系列答案
相关题目

违法和不良信息举报电话:027-86699610 举报邮箱:58377363@163.com

精英家教网