题目内容
如图甲所示,真空中两水平放置的平行金属板C、D,上面分别开有两对正对的小孔O1、O2和O3、O4,O2与O3之间的距离d=20cm.金属板C、D接在正弦交流电源上,C、D两板间的电压UCD随时间t变化的图线如图乙所示.t=0时刻开始,从C板小孔O1处连续不断飘入质量m=3.2×10-25kg、电荷量q=1.6×10-19C的带正电的粒子(飘入速度很小,可忽略不计).在D板外侧有范围足够大匀强磁场,磁感应强度大小B=0.1T,方向垂直纸面向里,粒子受到的重力及粒子间的相互作用力均可忽略不计,平行金属板C、D之间距离足够小,粒子在两板间的运动时间可忽略不计.(取π近似等于3)(1)带电粒子若经磁场的作用后恰能进入小孔O3,则带电粒子从小孔O2进入磁场时的速度为多大?
(2)在什么时刻飘入小孔O1的粒子,恰好能够进入小孔O3?
(3)经过小孔O3进入C、D两板间的粒子,从小孔O4射出时的动能为多大?
【答案】分析:(1)粒子在洛伦兹力作用下,做匀速圆周运动,根据动能定理与牛顿第二定律,即可求解;
(2)粒子恰能飞出磁场边界,根据牛顿第二定律与动能定理,可求出电压;根据图象可求出对应的时刻;
(3)在t1时刻飘入的粒子,经过小孔O3进入C、D两板间的粒子粒子在磁场中运动的时间t,确定粒子到达小孔O3时刻,然后确定此时的电压,最后根据动能定理求出.
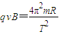
解答:(1)设带电粒子小孔O2进入磁场时的速度为v,粒子在磁场中做匀速圆周运动,其半径为R,根据牛顿第二定律有
因粒子恰好能进入小孔O3,粒子运动轨迹如答图2所示,有R=
d
解得速度
(2)设恰能进入小孔O3的粒子在电场中运动时CD板对应的电压为U,根据动能定理
解得
由于粒子带正电,因此只有在C板电势高(UCD=UC-UD>0)时才能被加速进入磁场,因此解得UCD=25 V对应时刻分别为
t1=(0.25+2n)×10-4s (n=0,1,2…)
t2=(0.75+2n)×10-4s (n=0,1,2…)
(3)设粒子在磁场中运动的周期为T,根据牛顿第二定律和圆周运动规律
,
得
粒子在磁场中运动的时间t=
=0.6×10-4s
在t1时刻飘入的粒子,经过时间t,粒子到达小孔O3时,C、D两板间的电压为UCD=15V.粒子在两板之间做减速运动,设到达小孔O4时的动能为E1,根据动能定理,得
-
解得E1=1.6×10-18J
在t2时刻飘入的粒子,经时间t,粒子到达小孔O3时,C、D两板间的电压为UCD′=-35V.粒子在两板之间做加速速运动,设到达小孔O4时的动能为E2,根据动能定理,得
-
解得E2=9.6×10-18J
答:(1)带电粒子从小孔O2进入磁场时的速度为
;
(2)解得UCD=25V,对应时刻分别为
t1=(0.25+2n)×10-4s(n=0,1,2…)
t2=(0.75+2n)×10-4s(n=0,1,2…)
(3)经过小孔O3进入C、D两板间的粒子,从小孔O4射出时的动能为E2=9.6×10-18J.
点评:考查带电粒子在洛伦兹力作用下做匀速圆周运动,掌握动能定理与牛顿第二定律的应用,注意由左手定则来确定粒子偏转方向,及正确的运动轨迹图,结合几何基础知识.
(2)粒子恰能飞出磁场边界,根据牛顿第二定律与动能定理,可求出电压;根据图象可求出对应的时刻;
(3)在t1时刻飘入的粒子,经过小孔O3进入C、D两板间的粒子粒子在磁场中运动的时间t,确定粒子到达小孔O3时刻,然后确定此时的电压,最后根据动能定理求出.
解答:(1)设带电粒子小孔O2进入磁场时的速度为v,粒子在磁场中做匀速圆周运动,其半径为R,根据牛顿第二定律有
因粒子恰好能进入小孔O3,粒子运动轨迹如答图2所示,有R=
解得速度
(2)设恰能进入小孔O3的粒子在电场中运动时CD板对应的电压为U,根据动能定理
解得
由于粒子带正电,因此只有在C板电势高(UCD=UC-UD>0)时才能被加速进入磁场,因此解得UCD=25 V对应时刻分别为
t1=(0.25+2n)×10-4s (n=0,1,2…)
t2=(0.75+2n)×10-4s (n=0,1,2…)
(3)设粒子在磁场中运动的周期为T,根据牛顿第二定律和圆周运动规律
得
粒子在磁场中运动的时间t=
在t1时刻飘入的粒子,经过时间t,粒子到达小孔O3时,C、D两板间的电压为UCD=15V.粒子在两板之间做减速运动,设到达小孔O4时的动能为E1,根据动能定理,得
-
解得E1=1.6×10-18J
在t2时刻飘入的粒子,经时间t,粒子到达小孔O3时,C、D两板间的电压为UCD′=-35V.粒子在两板之间做加速速运动,设到达小孔O4时的动能为E2,根据动能定理,得
-
解得E2=9.6×10-18J
答:(1)带电粒子从小孔O2进入磁场时的速度为
(2)解得UCD=25V,对应时刻分别为
t1=(0.25+2n)×10-4s(n=0,1,2…)
t2=(0.75+2n)×10-4s(n=0,1,2…)
(3)经过小孔O3进入C、D两板间的粒子,从小孔O4射出时的动能为E2=9.6×10-18J.
点评:考查带电粒子在洛伦兹力作用下做匀速圆周运动,掌握动能定理与牛顿第二定律的应用,注意由左手定则来确定粒子偏转方向,及正确的运动轨迹图,结合几何基础知识.
练习册系列答案
相关题目