题目内容
2013年6月20日,在中国迄今最高“讲台”天宫一号上,女航天员王亚平向地面的千万名师生进行了太空授课。在演示如何在太空中测量物体质量时,她让“助教”聂海胜固定在仪器上,启动机械臂拉他由静止开始向舱壁运动,假设仪器测出聂海胜受到机械臂的恒定拉力为F,经时间t时.测速仪测出他运动的速率为v,则聂海胜的质量为
A.
B.
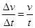
C.
D.![]()
【答案】
B
【解析】
试题分析:由加速度定义式知:a=
,根据牛顿第二定律F=ma得聂海胜的质量m=
,故选项B正确。
考点:加速度定义式 牛顿第二定律
练习册系列答案
相关题目
2013年6月20日,在“天宫一号”测出指令长聂海胜的质量.聂海胜受到恒定作用力F从静止开始运动,经时间t时,测速仪测出他运动的速率为υ,则聂海胜的质量为( )
A、
| ||
B、
| ||
C、
| ||
D、
|
2013年6月20日,小华同学通过全国太空授课得知“神舟”十号飞船在圆轨道上运转一圈的时间为90分钟,由此他将“神舟”十号飞船与同步卫星进行比较而得出以下结论,其中正确的是( )
| A、“神舟”十号飞船运行的轨道和同步卫星的轨道是同一轨道 | B、“神舟”十号飞船运行的角速度大于同步卫星的角速度 | C、“神舟”十号飞船运行的向心加速度小于同步卫星的加速度 | D、“神舟”十号飞船在圆轨道上的速率大于同步卫星的速率 |
2013年6月20日,航天员王亚平进行了太空授课,她用天宫一号上的质量测量仪现身说教.航天员聂海胜把自己固定在支架一端,王亚平轻轻拉开支架然后把手松开,支架便在弹簧的作用下回复原位.LED显示器上显示聂海胜的质量是74kg.此次测质量的原理你认为是利用了( )
| A、二力平衡 | B、牛顿第二定律 | C、能量守恒定律 | D、惯性 |
| A、实验一中拉力为0 | ||
| B、实验一中拉力为0.9mg | ||
C、实验二中拉力为0.9+m
| ||
D、实验二中拉力为m
|
2013年6月20日上午,神舟十号航天员进行了我国首次太空授课.航天员通过质量测量、单摆运动、陀螺运动、水膜和水球等5个基础物理实验,让同学们领略奇妙的太空世界.神舟十号中水成球状,这是因为( )
| A、神舟十号做匀速运动 | B、神舟十号的速度超过7.9km/s | C、神舟十号相对地面静止 | D、神舟十号处于失重环境中 |