题目内容

如图所示.地球和某行星在同一轨道平面内同向绕太阳做匀速圆周运动.地球的轨道半径为R,运转周期为T.地球和太阳中心的连线与地球和行星的连线所夹的角叫地球对该行星的观察视角(简称视角).已知该行星的最大视角为,当行星处于最大视角处时,是地球上的天文爱好者观察该行星的最佳时期.若某时刻该行星正处于最佳观察期,问该行星下一次处于最佳观察期至少需经历多长时间?

答案:
解析:

  由题意可得行星的轨道半径r为:  ①(1分)

  设行星绕太阳的运转周期为,由开普勒第三定律有:  ②(1分)

  (用万有引力定律和匀速圆周运动知识解答,结果正确照样给分)

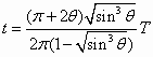
  设行星最初处于最佳观察期时,其位置超前与地球,且设经时间t地球转过角后该行星再次处于最佳观察期.则行星转过的角度为:  ③(2分)

  于是有:  ④(1分)

    ⑤(1分)

  解①②③④⑤可得:  ⑥(2分)

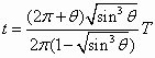
  若行星最初处于最佳观察期时,其位置滞后与地球,同理可得:

    ⑦(4分)


练习册系列答案
相关题目

违法和不良信息举报电话:027-86699610 举报邮箱:58377363@163.com

精英家教网