题目内容
如图所示是某次实验中用频闪照相方法拍摄的小球(可视为质点)做平抛运动的闪光照片,如果图中每个小方格的边长l表示的实际距离和闪光频率f均为已知量,那么在小球的质量m、平抛的初速度大小V、小球通过P点时的速度大小V和当地的重力加速度值g这四个未知量中,利用上述已知量和图中信息______A、可以计算出m、v和v
B、可以计算出v、v和g
C、只能计出v和v
D、只能计算出v和g.
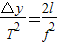
【答案】分析:根据闪光的频率知相邻两点间的时间间隔.在竖直方向上根据△y=gT2,求出重力加速度.水平方向上做匀速直线运动,根据
,求出初速度.先求出中间点在竖直方向的速度,根据运动学公式求出A点在竖直方向上的速度,然后运用平行四边形定则,求出A的速度.
解答:解:相邻两个点的时间间隔为T=
,在竖直方向上△y=gT2,g=
.
则小球平抛运动的初速度v=
P点在竖直方向上的分速度vPy=
小球运动到P点的速度为v=
=5lf
质量无法求出,可以算出v、v、g
故选B
点评:解决本题的关键掌握平抛运动的处理方法,平抛运动在水平方向上做匀速直线运动,在竖直方向上做自由落体运动.
解答:解:相邻两个点的时间间隔为T=
则小球平抛运动的初速度v=
P点在竖直方向上的分速度vPy=
小球运动到P点的速度为v=
质量无法求出,可以算出v、v、g
故选B
点评:解决本题的关键掌握平抛运动的处理方法,平抛运动在水平方向上做匀速直线运动,在竖直方向上做自由落体运动.
练习册系列答案
相关题目