题目内容
质量为2kg的物体(可视为质点)在水平外力F的作用下,从t=0时刻开始在平面直角坐标系未画出)所决定的光滑水平面内运动.运动过程中X方向的位移时间图象如图甲所示,y方向的速度时间图象如图乙所示,则下列说法正确的是( )A.t=0时刻,物体的速度大小为10m/s
B.物体的初速度方向和外力厂的方向垂直
C.物体所受外力F的大小为5N
D.2s末,外力尸的功率为25W
【答案】分析:位移图象的斜率等于速度,倾斜的直线表示物体做匀速直线运动.速度图象倾斜的直线表示物体做匀变速直线运动.根据两图象的形状求出物体在x方向和y方向的初速度,再进行合成,求出物体t=0时刻的速度.x方向物体的合力为零,物体所受的合力在y方向.由速度图象的斜率求出加速度,由牛顿第二定律求出外力F,根据功率公式P=Fv求出2s末外力的功率.
解答:解:
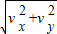
A、由图甲图得到物体在x方向做匀速直线运动,速度大小为vx=
=
,t=0时刻,y方向物体的分速度为vy=10m/s,物体的速度大小为v=
>10m/s.故A错误.
B、物体在x方向做匀速直线运动,合力为零,y方向做匀减速直线运动,合力沿-y轴方向,而物体的初速度不在x轴方向,所以物体的初速度方向和外力的方向并不垂直.故B错误.
C、由乙图的斜率等于加速度,得到物体的加速度大小为a=
=
=2.5m/s2,所受外力F的大小为F=ma=5N.故C正确.
D、2s末,外力的功率P=Fvy=5×5W=25W.故D正确.
故选CD
点评:本题知道x、y两个方向的分运动,运用运动的合成法求解合运动的情况.对于位移图象与速度图象的斜率意义不同,不能混淆:位移图象的斜率等于速度,而速度图象的斜率等于加速度.
解答:解:
A、由图甲图得到物体在x方向做匀速直线运动,速度大小为vx=
B、物体在x方向做匀速直线运动,合力为零,y方向做匀减速直线运动,合力沿-y轴方向,而物体的初速度不在x轴方向,所以物体的初速度方向和外力的方向并不垂直.故B错误.
C、由乙图的斜率等于加速度,得到物体的加速度大小为a=
D、2s末,外力的功率P=Fvy=5×5W=25W.故D正确.
故选CD
点评:本题知道x、y两个方向的分运动,运用运动的合成法求解合运动的情况.对于位移图象与速度图象的斜率意义不同,不能混淆:位移图象的斜率等于速度,而速度图象的斜率等于加速度.
练习册系列答案
相关题目
质量为2kg的物体自由下落,g取10m/s2则第2s内重力的平均功率是( )
| A、400w | B、300w | C、200w | D、100w |