题目内容
地球“空间站”正在地球赤道平面内的圆周轨道上运行,其离地高度为同步卫星离地高度的十分之一,且运行方向与地球自转方向一致.关于该“空间站”说法正确的有( )A.运行的加速度一定等于其所在高度处的重力加速度
B.运行的速度等于同步卫星运行速度的
C.站在地球赤道上的人观察到它向东运动
D.在“空间站”工作的宇航员因受到平衡力而在其中悬浮或静止
【答案】分析:根据万有引力提供向心力,得出线速度与轨道半径的关系,从而知道线速度的关系.绕地球做匀速圆周运动的卫星中物体处于完全失重状态.
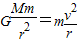
解答:解:A、根据
,知空间站的加速度等于所在高度处的重力加速度.故A正确.
B、根据
,解得v=
,因为空间站离地高度为同步卫星离地高度的十分之一,但轨道半径不是十分之一,则运行速度不等于同步卫星速度的
倍.故B错误.
C、根据
,解得v=
,轨道半径越大,线速度越小,知同步卫星的线速度小于空间站的线速度,而同步卫星与地球角速度相等,根据v=rω,知同步卫星的线速度大于地球自转的线速度,所以空间站的速度大于地球自转的线速度,所以站在地球赤道上的人观察到它向东运动.故C正确.
D、在“空间站”工作的宇航员处于完全失重状态,所受的力不是平衡力,仅受万有引力,靠万有引力提供圆周运动所需的向心力.故D错误.
故选AC.
点评:解决本题的关键知道同步卫星的特点,以及知道卫星线速度、周期与轨道半径的关系.
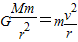
解答:解:A、根据
B、根据
C、根据
D、在“空间站”工作的宇航员处于完全失重状态,所受的力不是平衡力,仅受万有引力,靠万有引力提供圆周运动所需的向心力.故D错误.
故选AC.
点评:解决本题的关键知道同步卫星的特点,以及知道卫星线速度、周期与轨道半径的关系.
练习册系列答案
相关题目