题目内容
同步卫星离地心距离为r,运行速率为
,加速度为
,地球赤道上的物体随地球自转的向心加速度为
,第一宇宙速度为
,地球半径为R,则下列比值正确的为
[ ]
A.
B.
C.
D.
答案:AD
解析:
解析:
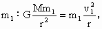
|
设地球质量为 M,同步卫星质量为 |
练习册系列答案
相关题目
同步卫星离地心距离为r,运行速率为v1,加速度为a1,地球赤道上物体随地球自转的向心加速度为a2,第一宇宙速度为v2,地球半径为R.则( )
A、
| ||||||
B、
| ||||||
C、
| ||||||
D、
|