题目内容
2011年4月10日我国成功发射了北斗导航系统的第8颗卫鹅,该卫星绕地球做圆周运动的半径为r,地球表面的重力加速度为g、地球的半径为R.刚该卫星的( )A.运行周期T=2
B.线速度v=
C.向心加速度a=
D.角速度ω=2π
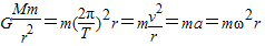
【答案】分析:万有引力等于向心力
,地球表面的物体受到的重力等于万有引力
,由以上二式可计算出周期T、线速度v、向心加速度a、加速度ω.
解答:解:根据万有引力等于向心力得
解得:



又因为地球表面的物体受到的重力等于万有引力,
,得GM=R2g.代入上面的个式,化简得




由以上分析可知,ACD错误.B正确.
故选B.
点评:关于天体问题一定要掌握两个关系:环绕天体绕中心天体做匀速圆周运动所需要的向心力由万有引力提供;星球表面的物体受到的重力等于万有引力.
解答:解:根据万有引力等于向心力得
解得:
又因为地球表面的物体受到的重力等于万有引力,
由以上分析可知,ACD错误.B正确.
故选B.
点评:关于天体问题一定要掌握两个关系:环绕天体绕中心天体做匀速圆周运动所需要的向心力由万有引力提供;星球表面的物体受到的重力等于万有引力.
练习册系列答案
相关题目