题目内容
杂技中的“顶竿”由两个演员共同表演,站在地面上的演员肩部顶住一根长竹竿,另一演员爬至竹竿项端完成各种动作后下滑.若竿上演员自竿项由静止开始下滑,滑到竿底时速度正好为零.已知竹竿底部与下面顶竿人肩部之间有一传感器,传感器显示竿上演员自竿项滑下过程中顶竿人肩部的受力情况如图所示.竿上演员质量为m1=40kg,长竹竿质量m2=10kg,g=10m/s2(1)求竿上的人下滑过程中的最大速度v1.
(2)请估测竹竿的长度h.
【答案】分析:(1)以人为研究对象,人加速下滑过程中受重力mg和杆对人的作用力F1,由题图可知,人加速下滑过程中杆对人的作用力F1为180 N.由牛顿第二定律可以求得加速度,1s末人的速度达到最大,根据速度时间公式即可求解;
(2)先求出加速下降的位移,再根据动能定理求出减速下降的位移,两段位移之和即为杆的长度.
解答:解:(1)在演员下滑的前4秒,顶竿人肩部对竿的支持力为F1=460N,竿和上面的演员总重力为500N,人匀加速下滑,加速度为a1

演员由静止下滑,下滑4s后达到最大速度v1,
则v1=a1t1=4m/s
(2)在演员下滑的4秒到6秒,顶竿人肩部对竿的支持力为F2=580N,竿和上面的演员总重力为500N,人匀速下滑,加速度为a2

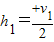
在演员下滑的前4秒,可看成匀加速下滑,下滑速度为h1
t1=8m
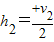
在演员下滑的4秒到6秒,可看成匀速下滑,下滑距离为h2
t1=4m
竹竿的长度h=h1+h2=12m
答:(1)竿上的人下滑过程中的最大速度v1为4m/s;
(2)竹竿的长度h为12m.
点评:本题主要考查了牛顿第二定律及运动学基本公式的直接应用,要求同学们能根据图象得出有效信息,能根据受力情况判断运动情况,难度适中.
(2)先求出加速下降的位移,再根据动能定理求出减速下降的位移,两段位移之和即为杆的长度.
解答:解:(1)在演员下滑的前4秒,顶竿人肩部对竿的支持力为F1=460N,竿和上面的演员总重力为500N,人匀加速下滑,加速度为a1
演员由静止下滑,下滑4s后达到最大速度v1,
则v1=a1t1=4m/s
(2)在演员下滑的4秒到6秒,顶竿人肩部对竿的支持力为F2=580N,竿和上面的演员总重力为500N,人匀速下滑,加速度为a2
在演员下滑的前4秒,可看成匀加速下滑,下滑速度为h1
在演员下滑的4秒到6秒,可看成匀速下滑,下滑距离为h2
竹竿的长度h=h1+h2=12m
答:(1)竿上的人下滑过程中的最大速度v1为4m/s;
(2)竹竿的长度h为12m.
点评:本题主要考查了牛顿第二定律及运动学基本公式的直接应用,要求同学们能根据图象得出有效信息,能根据受力情况判断运动情况,难度适中.
练习册系列答案
相关题目