题目内容
将电量为6×10-6C的负电荷从电场中A点移到B点,克服电场力做了3×10-5J的功,则该电荷在此过程中电势能 了 J;再将该电荷从B点移到C点,电场力做了1.2×10-5J的功,则A、C间的电势差UAC= .
【答案】分析:电荷在电场力作用下做功,导致电势能变化.所以由做功与电量可求出两点的电势差,同时根据电场力做功的正负可确定电势能增加与减少.
解答:解:负电荷在电场力作用下发生位移,导致电场力做负功,则电荷的电势能增加.做多少功,电势能就增加多少.
因此,电荷在此过程中电势能增加,且增加了3×10-5J.
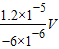
电荷从B点移到C点,电场力做了1.2×10-5J的功,则由:W=qU 得UBC=
=
=-2v
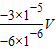
而负电荷从电场中A点移到B点,两点的电势差UAB=
=
=5V
所以A、C间的电势差UAC=UAB+UBC=5V-2V=3V
故答案为:增加;3×10-5;3V
点评:电势差是电场中的电势之差,电势可以任意取,但电势差却不变,就像高度与高度差一样.电荷的电势能增加还是减少是由电场力做功的正负决定.就像重力做功与重力势能一样.
解答:解:负电荷在电场力作用下发生位移,导致电场力做负功,则电荷的电势能增加.做多少功,电势能就增加多少.
因此,电荷在此过程中电势能增加,且增加了3×10-5J.
电荷从B点移到C点,电场力做了1.2×10-5J的功,则由:W=qU 得UBC=
而负电荷从电场中A点移到B点,两点的电势差UAB=
所以A、C间的电势差UAC=UAB+UBC=5V-2V=3V
故答案为:增加;3×10-5;3V
点评:电势差是电场中的电势之差,电势可以任意取,但电势差却不变,就像高度与高度差一样.电荷的电势能增加还是减少是由电场力做功的正负决定.就像重力做功与重力势能一样.
练习册系列答案
相关题目