ÌâÄ¿ÄÚÈÝ
ÓÃÈçͼËùʾµÄʵÑé×°ÖÃÑéÖ¤»úеÄÜÊØºã¶¨ÂÉ£®ÊµÑéËùÓõĵçԴΪѧÉúµçÔ´£¬Êä³öµçѹΪ6VµÄ½»Á÷µçºÍÖ±Á÷µçÁ½ÖÖ£®ÖØ´¸´Ó¸ß´¦Óɾ²Ö¹¿ªÊ¼ÂäÏ£¬ÖØ´¸ÉÏÍÏ×ŵÄÖ½´øÍ¨¹ý´òµã¼ÆÊ±Æ÷´ò³öһϵÁеĵ㣬¶ÔÖ½´øÉϵĵãµÄºÛ¼£½øÐвâÁ¿£¬¼´¿ÉÑéÖ¤»úеÄÜÊØºã¶¨ÂÉ£®£¨1£©ÏÂÃæÁоÙÁ˸ÃʵÑéµÄ¼¸¸ö²Ù×÷²½Ö裺
A£®°´ÕÕͼʾµÄ×°Öð²×°Æ÷¼þ£»
B£®½«´òµã¼ÆÊ±Æ÷½Óµ½µçÔ´µÄÖ±Á÷Êä³ö¶ËÉÏ£»
C£®ÓÃÌìÆ½²âÁ¿³öÖØ´¸µÄÖÊÁ¿£»
D£®ÊÍ·ÅÐü¹ÒÖ½´øµÄ¼Ð×Ó£¬Í¬Ê±½ÓͨµçÔ´¿ª¹Ø´ò³öÒ»ÌõÖ½´ø£»
E£®²âÁ¿´ò³öµÄÖ½´øÉÏijЩµãÖ®¼äµÄ¾àÀ룻
F£®¸ù¾Ý²âÁ¿µÄ½á¹û¼ÆËãÖØ´¸ÏÂÂä¹ý³ÌÖмõÉÙµÄÖØÁ¦ÊÆÄÜÊÇ·ñµÈÓÚÔö¼ÓµÄ¶¯ÄÜ£®
Ö¸³öÆäÖÐûÓбØÒª½øÐеĻòÕß²Ù×÷²»Ç¡µ±µÄ²½Ö裬½«ÆäÑ¡Ïî¶ÔÓ¦µÄ×ÖĸÌîÔÚÏÂÃæµÄ¿ÕÐÐÄÚ£®
´ð£º______£®
£¨2£©ÊµÑéÖеõ½Ò»ÌõÖ½´ø£¬ÈçͼËùʾ£®¸ù¾Ý´ò³öµÄÖ½´ø£¬Ñ¡È¡Ö½´øÉÏ´ò³öµÄÁ¬ÐøÎå¸öµãA¡¢B¡¢C¡¢D¡¢E£¬²â³öAµã¾àÆðʼµãOµÄ¾àÀëΪS£¬µãA¡¢C¼äµÄ¾àÀëΪs1£¬µãC¡¢E¼äµÄ¾àÀëΪs2£¬Ê¹Óý»Á÷µçµÄƵÂÊΪf£¬ÉèÖØ´¸ÖÊÁ¿Îªm£¬Ôò´òµã¼ÆÊ±Æ÷´òCµãÊ±ÖØ´¸µÄ¶¯ÄÜΪ______£¬´òµã¼ÆÊ±Æ÷ÔÚ´òOµãºÍCµãµÄÕâ¶Îʱ¼äÄÚÖØ´¸µÄÖØÁ¦ÊÆÄܵļõÉÙÁ¿Îª______£®ÀûÓÃÕâ¸ö×°ÖÃÒ²¿ÉÒÔ²âÁ¿ÖØ´¸ÏÂÂäµÄ¼ÓËÙ¶ÈaµÄÊýÖµ£®Ôò¸ù¾ÝÕâЩÌõ¼þ¼ÆËãÖØ´¸ÏÂÂäµÄ¼ÓËÙ¶ÈaµÄ±í´ïʽΪ£ºa=______£®
£¨3£©ÔÚÑéÖ¤»úеÄÜÊØºã¶¨ÂɵÄʵÑéÖз¢ÏÖ£¬ÖØ´¸¼õСµÄÖØÁ¦ÊÆÄÜ×ÜÊÇ______£¨Ìî¡°´óÓÚ¡±»ò¡°Ð¡ÓÚ¡±£©ÖØ´¸¶¯ÄܵÄÔö¼Ó£¬ÆäÔÒòÖ÷ÒªÊÇÒòΪÔÚÖØ´¸ÏÂÂä¹ý³ÌÖдæÔÚ×Å×èÁ¦µÄ×÷Ó㬿ÉÒÔͨ¹ý¸ÃʵÑé×°Öòⶨ¸Ã×èÁ¦µÄ´óС£¬ÊÔÓã¨2£©ÖÐÒÑÖªÎïÀíÁ¿ºÍÖ½´øÉϵIJâÁ¿Êý¾Ý±íʾ³öÖØ´¸ÔÚÏÂÂäµÄ¹ý³ÌÖÐÊܵ½µÄƽ¾ù×èÁ¦´óСΪF=______£®
¡¾´ð°¸¡¿·ÖÎö£º½â¾öʵÑéÎÊÌâÊ×ÏÈÒªÕÆÎÕ¸ÃʵÑéÔÀí£¬Á˽âʵÑéµÄÒÇÆ÷¡¢²Ù×÷²½ÖèºÍÊý¾Ý´¦ÀíÒÔ¼°×¢ÒâÊÂÏ
Ö½´øÊµÑéÖУ¬ÈôÖ½´øÔȱäËÙÖ±ÏßÔ˶¯£¬²âµÃÖ½´øÉϵĵã¼ä¾à£¬ÀûÓÃÔȱäËÙÖ±ÏßÔ˶¯µÄÍÆÂÛ£¬¿É¼ÆËã³ö´ò³öijµãʱֽ´øÔ˶¯µÄ˲ʱËٶȺͼÓËÙ¶È£¬´Ó¶øÇó³ö¶¯ÄÜ£®¸ù¾Ý¹¦ÄܹØÏµµÃÖØÁ¦ÊÆÄܼõСÁ¿µÈÓÚÖØÁ¦×ö¹¦µÄÊýÖµ£®
¶ÔÖØÎï½øÐÐÊÜÁ¦·ÖÎö£¬ÔËÓÃÅ£¶ÙµÚ¶þ¶¨ÂÉÇó³ö×èÁ¦£®
½â´ð£º½â£º£¨1£©B¡¢Ó¦½«´òµã¼ÆÊ±Æ÷½Óµ½µçÔ´µÄ½»Á÷Êä³ö¶ËÉÏ£¬¹ÊB²Ù×÷²»Ç¡µ±£»
C¡¢ÒòΪÎÒÃÇÊDZȽÏmgh¡¢
mv2µÄ´óС¹ØÏµ£¬¹Êm¿ÉԼȥ±È½Ï£¬²»ÐèÒªÓÃÌìÆ½£®¹ÊCûÓбØÒª£»
D¡¢¿ªÊ¼¼Ç¼ʱ£¬Ó¦Ïȸø´òµã¼ÆÊ±Æ÷ͨµç´òµã£¬È»ºóÔÙÊÍ·ÅÖØ´¸£¬ÈÃËü´ø×ÅÖ½´øÒ»Í¬ÂäÏ£¬Èç¹ûÏÈ·Å¿ªÖ½´øÈÃÖØ´¸ÏÂÂ䣬ÔÙ½Óͨ´òµã¼ÆÊ±Ê±Æ÷µÄµçÔ´£¬ÓÉÓÚÖØÎïÔ˶¯½Ï¿ì£¬²»ÀûÓÚÊý¾ÝµÄ²É¼¯ºÍ´¦Àí£¬»á¶ÔʵÑé²úÉú½Ï´óµÄÎó²î£®¹ÊD²Ù×÷²»Ç¡µ±£»
¹ÊÑ¡BCD£®
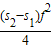
£¨2£©ÀûÓÃÔȱäËÙÖ±ÏßÔ˶¯µÄÍÆÂ۵ãº
vC=
=
=
EkC=
mvC2=
ÖØÁ¦ÊÆÄܼõСÁ¿¡÷Ep=mgh=mg£¨s+s1£©
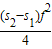
ÀûÓÃÔȱäËÙÖ±ÏßÔ˶¯µÄÍÆÂÛ¡÷x=at2µÃ£º
a=
=
£¨3£©ÓÉÓÚÖ½´øÍ¨¹ýʱÊܵ½½Ï´óµÄ×èÁ¦ºÍÖØ´¸Êܵ½µÄ¿ÕÆø×èÁ¦£¬ÖØÁ¦ÊÆÄÜÓÐÏ൱һ²¿·Öת»¯¸øÄ¦²Á²úÉúµÄÄÚÄÜ£¬ËùÒÔÖØÁ¦ÊÆÄܵļõСÁ¿´óÓÚ¶¯ÄܵÄÔö¼ÓÁ¿£®
ÖØ´¸ÔÚÏÂÂäµÄ¹ý³ÌÊÜÖØÁ¦mgºÍ×èÁ¦f£¬¸ù¾ÝÅ£¶ÙµÚ¶þ¶¨Âɵãº
FºÏ=mg-f=ma
f=mg-ma=mg-m
¹Ê´ð°¸Îª£º£¨1£©BCD
£¨2£©
£¬mg£¨s+s1£©£¬
£»
£¨3£©´óÓÚ£¬mg-m
£®
µãÆÀ£ºÖ½´øÎÊÌâµÄ´¦ÀíÊÇÁ¦Ñ§ÊµÑéÖг£¼ûµÄÎÊÌ⣬ÔÚʵÑéÖУ¬ÈôÖ½´øÔȱäËÙÖ±ÏßÔ˶¯£¬²âµÃÖ½´øÉϵĵã¼ä¾à£¬ÀûÓÃÔȱäËÙÖ±ÏßÔ˶¯µÄÍÆÂÛ£¬¿É¼ÆËã³ö´ò³öijµãʱֽ´øÔ˶¯µÄ˲ʱËٶȺͼÓËÙ¶È£®
Òª°ÑÔ˶¯ºÍÁ¦½áºÏÆðÀ´£¬´¦ÀíÏà¹ØµÄÎÊÌ⣮
Ö½´øÊµÑéÖУ¬ÈôÖ½´øÔȱäËÙÖ±ÏßÔ˶¯£¬²âµÃÖ½´øÉϵĵã¼ä¾à£¬ÀûÓÃÔȱäËÙÖ±ÏßÔ˶¯µÄÍÆÂÛ£¬¿É¼ÆËã³ö´ò³öijµãʱֽ´øÔ˶¯µÄ˲ʱËٶȺͼÓËÙ¶È£¬´Ó¶øÇó³ö¶¯ÄÜ£®¸ù¾Ý¹¦ÄܹØÏµµÃÖØÁ¦ÊÆÄܼõСÁ¿µÈÓÚÖØÁ¦×ö¹¦µÄÊýÖµ£®
¶ÔÖØÎï½øÐÐÊÜÁ¦·ÖÎö£¬ÔËÓÃÅ£¶ÙµÚ¶þ¶¨ÂÉÇó³ö×èÁ¦£®
½â´ð£º½â£º£¨1£©B¡¢Ó¦½«´òµã¼ÆÊ±Æ÷½Óµ½µçÔ´µÄ½»Á÷Êä³ö¶ËÉÏ£¬¹ÊB²Ù×÷²»Ç¡µ±£»
C¡¢ÒòΪÎÒÃÇÊDZȽÏmgh¡¢
D¡¢¿ªÊ¼¼Ç¼ʱ£¬Ó¦Ïȸø´òµã¼ÆÊ±Æ÷ͨµç´òµã£¬È»ºóÔÙÊÍ·ÅÖØ´¸£¬ÈÃËü´ø×ÅÖ½´øÒ»Í¬ÂäÏ£¬Èç¹ûÏÈ·Å¿ªÖ½´øÈÃÖØ´¸ÏÂÂ䣬ÔÙ½Óͨ´òµã¼ÆÊ±Ê±Æ÷µÄµçÔ´£¬ÓÉÓÚÖØÎïÔ˶¯½Ï¿ì£¬²»ÀûÓÚÊý¾ÝµÄ²É¼¯ºÍ´¦Àí£¬»á¶ÔʵÑé²úÉú½Ï´óµÄÎó²î£®¹ÊD²Ù×÷²»Ç¡µ±£»
¹ÊÑ¡BCD£®
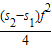
£¨2£©ÀûÓÃÔȱäËÙÖ±ÏßÔ˶¯µÄÍÆÂ۵ãº
vC=
EkC=
ÖØÁ¦ÊÆÄܼõСÁ¿¡÷Ep=mgh=mg£¨s+s1£©
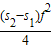
ÀûÓÃÔȱäËÙÖ±ÏßÔ˶¯µÄÍÆÂÛ¡÷x=at2µÃ£º
a=
£¨3£©ÓÉÓÚÖ½´øÍ¨¹ýʱÊܵ½½Ï´óµÄ×èÁ¦ºÍÖØ´¸Êܵ½µÄ¿ÕÆø×èÁ¦£¬ÖØÁ¦ÊÆÄÜÓÐÏ൱һ²¿·Öת»¯¸øÄ¦²Á²úÉúµÄÄÚÄÜ£¬ËùÒÔÖØÁ¦ÊÆÄܵļõСÁ¿´óÓÚ¶¯ÄܵÄÔö¼ÓÁ¿£®
ÖØ´¸ÔÚÏÂÂäµÄ¹ý³ÌÊÜÖØÁ¦mgºÍ×èÁ¦f£¬¸ù¾ÝÅ£¶ÙµÚ¶þ¶¨Âɵãº
FºÏ=mg-f=ma
f=mg-ma=mg-m
¹Ê´ð°¸Îª£º£¨1£©BCD
£¨2£©
£¨3£©´óÓÚ£¬mg-m
µãÆÀ£ºÖ½´øÎÊÌâµÄ´¦ÀíÊÇÁ¦Ñ§ÊµÑéÖг£¼ûµÄÎÊÌ⣬ÔÚʵÑéÖУ¬ÈôÖ½´øÔȱäËÙÖ±ÏßÔ˶¯£¬²âµÃÖ½´øÉϵĵã¼ä¾à£¬ÀûÓÃÔȱäËÙÖ±ÏßÔ˶¯µÄÍÆÂÛ£¬¿É¼ÆËã³ö´ò³öijµãʱֽ´øÔ˶¯µÄ˲ʱËٶȺͼÓËÙ¶È£®
Òª°ÑÔ˶¯ºÍÁ¦½áºÏÆðÀ´£¬´¦ÀíÏà¹ØµÄÎÊÌ⣮
Á·Ï°²áϵÁдð°¸
Ïà¹ØÌâÄ¿