题目内容

航天飞机是能往返于地球与太空间的飞行器,利用航天飞机,可将人造卫星送入预定轨道,也可以到太空维修出现故障的地球卫星.乘航天飞机对离地面高度h=800km的轨道上运动的卫星进行维修时,航天飞机的速度与卫星的速度必须相同.已知地球半径R=6400km,地面重力加速度为,试求维修卫星时航天飞机的速度.

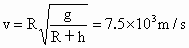
答案:7500m/s
解析:

在地面上,所以有,对卫星,万有引力提供其做圆周运动的向心力.由牛顿第二定律得,联立得,故航天飞机的速度也是


练习册系列答案
相关题目

违法和不良信息举报电话:027-86699610 举报邮箱:58377363@163.com

精英家教网