题目内容
如图甲所示,一个正方形金属框位于有界匀强磁场区域内,线框的右边紧贴着边界,t=0时刻对线框施加一水平向右的外力F,让线框从静止开始做匀加速直线运动穿出磁场;乙图为外力F随时间变化的图象.若线框的边长L、质量m、总电阻R及图象中的F、t均为已知量,则根据上述条件,请你求出匀强磁场的磁感应强度.
【答案】分析:根据牛顿第二定律与安培力大小公式,并结合运动学公式,即可求解.
解答:解:令线框做匀加速运动的加速度为a,t=t时,对线框:由牛顿第二定律:
3F-F安=ma …①
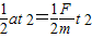
此时:
…②
0~t时间内,由vt=at:所以v=at …③
t>t后:由牛顿第二定律:F=ma …④
联立方程组①~④,解出:B=
…⑤
另解:0~t时间内,
由s=
;所以L=
…⑥
⑥代入⑤有
答:匀强磁场的磁感应强度
或B=
.
点评:考查牛顿第二定律与运动学公式,掌握安培力的大小表达式,同时能理解另一种解法.
解答:解:令线框做匀加速运动的加速度为a,t=t时,对线框:由牛顿第二定律:
3F-F安=ma …①
此时:
0~t时间内,由vt=at:所以v=at …③
t>t后:由牛顿第二定律:F=ma …④
联立方程组①~④,解出:B=
另解:0~t时间内,
由s=
⑥代入⑤有
答:匀强磁场的磁感应强度
点评:考查牛顿第二定律与运动学公式,掌握安培力的大小表达式,同时能理解另一种解法.
练习册系列答案
相关题目