题目内容

如图所示,初速度不计的电子从电子枪中射出,在加速电场中加速,从正对P板的小孔射出,设加速电压为U1,又垂直偏转电场方向射入板间并射出,设偏转电压为U2。则:

A.U1变大,则电子进入偏转电场的速度变大

B.U1变大,则电子在偏转电场中运动的时间变长

C.U2变大,则电子在偏转电场中运动的加速度变大

D.若要电子离开偏转电场时偏移量变小,仅使U1变大,其它条件不变即可

 

【答案】

ACD

【解析】

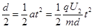
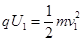
试题分析:据题意,电子经过加时电场后获得的动能为:,经过整理电子进入偏转电场的速度为:,则A选项正确;电子进入偏转电场后的加速度为:,据图设偏转电场两极板距离为d,通过偏转电场的时间为:,整理得,则U1的变化对电子在偏转电场中的运动时间没有影响,B选项错误而C选项正确;电子在偏转电场中的偏移量为:,当仅使U1变大,其它条件不变的情况下可以使偏移量变小,D选项正确。

考点:本题考查带电粒子在加速电场和偏转电场中的运动。

 

练习册系列答案
相关题目

违法和不良信息举报电话:027-86699610 举报邮箱:58377363@163.com

精英家教网