题目内容
用如图甲所示的实验装置验证机械能守恒定律.①实验小组A不慎将一条选择好的纸带的前面一部分损坏了,剩下的一部分纸带上各点间的距离如图乙所示的数值,已知打点计时器的周期为T=0.02S,重力加速度g=10m/s2;重锤的质量为m=1kg,已知S1=0.98cm,S2=1.42cm,S3=1.78cm,S4=2.18cm,重锤从B点到C点重力势能变化量是 J,动能变化量是 J.(结果保留三位有效数字)
②若实验小组B在验证机械能守恒定律的实验中发现,重锤减小的重力势能总是大于重锤动能的增加,其原因主要是因为 .
【答案】分析:根据动能和势能的表达式可以求出动能和势能的变化量,利用匀变速直线运动中中间时刻的速度等于该过程中的平均速度来求B点或C点的速度大小,进一步求出动能的变化;由于重锤下落的过程中不可避免的克服阻力做功,因此重力势能的减小量大于动能的增加量.
解答:解:①B点的速度为:

C点的速度为:
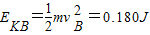
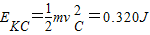
C点动能为:
重锤重力势能的变化量是:mghBC=0.142J
重锤动能的变化量是:△EK=EKC-EKB=0.140J
故答案为:0.142,0.140.
②由于存在摩擦阻力因此重力势能的减小量略大于动能增加量.
点评:该实验为验证性实验,在所测数据是明确的,比较简单,做题过程中体会实验误差的产生,提高解答实验问题的能力.
解答:解:①B点的速度为:
C点的速度为:
C点动能为:
重锤重力势能的变化量是:mghBC=0.142J
重锤动能的变化量是:△EK=EKC-EKB=0.140J
故答案为:0.142,0.140.
②由于存在摩擦阻力因此重力势能的减小量略大于动能增加量.
点评:该实验为验证性实验,在所测数据是明确的,比较简单,做题过程中体会实验误差的产生,提高解答实验问题的能力.
练习册系列答案
相关题目