题目内容
如图所示,一水平传送带以不变的速度V向右运动,将质量为m的小物块A轻放在其左端,经ts后,物块A的速度也变为V,再经ts到达右端,则A从左端运动到右端的过程中,平均速度为______;A与传送带之间的动摩擦因数为______;在运送物块的过程中摩擦力对物块做的功______传送带克服物块的摩擦力所做的功(填“大于”、“等于”或“小于”).
【答案】分析:(1)求解出总位移后根据平均速度的定义公式求解平均速度;
(2)求解出加速过程的加速度,然后根据牛顿第二定律求解动摩擦因素;
(3)对工件进行分析,运用动能定理求出摩擦力对工件做的功.对传送带而言,摩擦力做的功为负功.工件从静止到与传送带相对静止这个过程,物块与传送带的位移不等,所以摩擦力对两者做功大小也不等
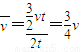
解答:解:工件的总位移为:x=
;
全程的平均速度为:
;
加速过程加速度为:a=
;
根据牛顿第二定律,有:μmg=ma;
故μ=
;
由于相对滑动,传送带位移大于滑块位移,故在运送物块的过程中摩擦力对物块做的功小于传送带克服物块的摩擦力所做的功;
故答案为:
,
,小于.
点评:本题关键明确滑块的运动规律,然后结合运动学公式、牛顿第二定律和功的定义进行判断,不难.
(2)求解出加速过程的加速度,然后根据牛顿第二定律求解动摩擦因素;
(3)对工件进行分析,运用动能定理求出摩擦力对工件做的功.对传送带而言,摩擦力做的功为负功.工件从静止到与传送带相对静止这个过程,物块与传送带的位移不等,所以摩擦力对两者做功大小也不等
解答:解:工件的总位移为:x=
全程的平均速度为:
加速过程加速度为:a=
根据牛顿第二定律,有:μmg=ma;
故μ=
由于相对滑动,传送带位移大于滑块位移,故在运送物块的过程中摩擦力对物块做的功小于传送带克服物块的摩擦力所做的功;
故答案为:
点评:本题关键明确滑块的运动规律,然后结合运动学公式、牛顿第二定律和功的定义进行判断,不难.
练习册系列答案
相关题目