题目内容

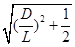
(9分)如图,厚度为D的玻璃砖与水平实验桌成45°角放置。红色激光束平行于水平桌面射到玻璃砖的表面,在桌面上得到两个较亮的光点,测得间的距离为L。求玻璃砖对该红色激光的折射率。

 

【答案】

【解析】

试题分析:由折射定律有:sin450/sinγ=n    (3分)

直角三角形MNR中sinγ=PN/2MN    MN=  (3分)

在直角三角形PQN中PN=L      解得n= (3分)

考点:折射定律

 

练习册系列答案
相关题目

违法和不良信息举报电话:027-86699610 举报邮箱:58377363@163.com

精英家教网