题目内容
物体由静止开始,以恒定的加速度a沿直线运动,经时间t后,加速度大小不变,方向与原方向相反,物体再经多长时间可回到原位置?此时速度多大?
答案:
解析:
解析:
|
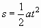
解:设加速运动的位移为s,则 物体经
所求时间
|
练习册系列答案
相关题目
题目内容
物体由静止开始,以恒定的加速度a沿直线运动,经时间t后,加速度大小不变,方向与原方向相反,物体再经多长时间可回到原位置?此时速度多大?
|
解:设加速运动的位移为s,则 物体经
所求时间
|