ÌâÄ¿ÄÚÈÝ

(²£¶ûÀíÂÛ£«µçÁ÷¶¨Òå)ÇâÔ­×Ó´¦ÓÚ»ù̬ʱ£¬Ô­×ÓÄÜÁ¿E1£½£­13.6 eV£¬ÒÑÖªµç×ÓµçÁ¿e£½1.6¡Á10£­19 C£¬µç×ÓÖÊÁ¿m£½0.91¡Á10£­30 kg£¬ÇâµÄºËÍâµç×ӵĵÚÒ»Ìõ¿ÉÄܹìµÀµÄ°ë¾¶Îªr1£½0.53¡Á10£­10 m£®

(1)ÈôҪʹ´¦ÓÚn£½2µÄÇâÔ­×ÓµçÀ룬ÖÁÉÙÒªÓÃÆµÂʶà´óµÄµç´Å²¨ÕÕÉäÇâÔ­×Ó£¿

(2)ÇâÔ­×ÓºËÍâµç×ÓµÄÈÆºËÔ˶¯¿ÉµÈЧΪһ»·ÐεçÁ÷£¬ÔòÇâÔ­×Ó´¦ÓÚn£½2µÄ¼¤·¢Ì¬Ê±£¬ºËÍâµç×ÓÔ˶¯µÄµÈЧµçÁ÷¶à´ó£¿

(3)ÈôÒÑÖªÄÆµÄ¼«ÏÞÆµÂÊΪ6.00¡Á1014 Hz£¬½ñÓÃһȺ´¦ÓÚn£½4µÄ¼¤·¢Ì¬µÄÇâÔ­×Ó·¢ÉäµÄ¹âÆ×ÕÕÉäÄÆ£¬ÊÔͨ¹ý¼ÆËã˵Ã÷Óм¸ÌõÆ×Ïß¿ÉÊ¹ÄÆ·¢Éú¹âµçЧӦ£¿

´ð°¸£º
½âÎö£º

¡¡¡¡½â£º(1)Ҫʹ´¦ÓÚn£½2µÄÇâÔ­×ÓµçÀ룬ÕÕÉä¹â¹â×ÓµÄÄÜÁ¿Ó¦ÄÜʹµç×Ó´ÓµÚ2Äܼ¶Ô¾Ç¨µ½ÎÞÏÞÔ¶´¦£¬×îСƵÂʵĵç´Å²¨µÄ¹â×ÓÄÜÁ¿Ó¦Îª£º

¡¡¡¡µÃHz£¬

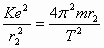
¡¡¡¡(2)ÇâÔ­×ÓºËÍâµç×ÓÈÆºË×öÔÈËÙÔ²ÖÜÔ˶¯£¬¿âÂ×Á¦×÷ÏòÐÄÁ¦£¬ÓÐ

¡¡¡¡¡¡¢Ù¡¡ÆäÖÐ

¡¡¡¡¸ù¾ÝµçÁ÷Ç¿¶ÈµÄ¶¨Òå¡¡¢Ú

¡¡¡¡Óɢ٢ڵá¡¢Û

¡¡¡¡½«Êý¾Ý´úÈë¢ÛµÃA

¡¡¡¡(3)ÓÉÓÚÄÆµÄ¼«ÏÞÆµÂÊΪ6.00¡Á1014 Hz£¬ÔòÊ¹ÄÆ·¢Éú¹âµçЧӦµÄ¹â×ÓµÄÄÜÁ¿ÖÁÉÙΪ

¡¡¡¡eV£½2.486 eV

¡¡¡¡Ò»Èº´¦ÓÚn£½4µÄ¼¤·¢Ì¬µÄÇâÔ­×Ó·¢ÉäµÄ¹â×Ó£¬ÒªÊ¹ÄÆ·¢Éú¹âµçЧӦ£¬Ó¦Ê¹Ô¾Ç¨Ê±Á½Äܼ¶µÄ²î£¬ËùÒÔÔÚÁùÌõ¹âÆ×ÏßÖÐÓС¢¡¢¡¢ËÄÌõÆ×Ïß¿ÉÊ¹ÄÆ·¢Éú¹âµçЧӦ£®


Á·Ï°²áϵÁдð°¸
Ïà¹ØÌâÄ¿

Î¥·¨ºÍ²»Á¼ÐÅÏ¢¾Ù±¨µç»°£º027-86699610 ¾Ù±¨ÓÊÏ䣺58377363@163.com

¾«Ó¢¼Ò½ÌÍø