题目内容

(10分)如图所示,固定于水平桌面上足够长的两平行光滑导轨PQ、MN,其电阻不计,间距d=0.5m,P、M两端接有一只理想电压表,整个装置处于竖直向下的磁感应强度B0=0.2T的匀强磁场中,两金属棒L1、L2平行地搁在导轨上,其电阻均为r=0.1Ω,质量分别为M1=0.3kg和M2=0.5kg。固定棒L1,使L2在水平恒力F=0.8N的作用下,由静止开始运动。试求:

(1) 当电压表读数为U=0.2V时,棒L2的加速度为多大;

(2)棒L2能达到的最大速度vm.

 

【答案】

(1)1.2m/s2    (2)16m/s

【解析】

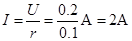
试题分析:(1) 流过L2的电流        (1分)

L2所受的安培力         (1分)

对L2由牛顿第二定律,可得:        (2分)

解得:         (1分)

(2)当安培力与恒力平衡时,棒L2速度达到最大,此时电路电流为Im,则

          (1分)

          (2分)

           (1分)

解得:            (1分)

考点:本题考查了电磁感应与力学、磁场、电路等多方面知识的综合

 

练习册系列答案
相关题目

违法和不良信息举报电话:027-86699610 举报邮箱:58377363@163.com

精英家教网