题目内容
如图所示,水平轨道AB与半径为R的竖直半圆形轨道BC相切于B点。质量为2m和m的a、b两个小滑块(可视为质点)原来静止于水平轨道上,其中小滑块a与一轻弹簧相连。某一瞬间给小滑块a一冲量使其获得
的初速度向右冲向小滑块b,与b碰撞后弹簧不与b相粘连,且小滑块b在到达B点之前已经和弹簧分离,不计一切摩擦,求:
(1)a和b在碰撞过程中弹簧获得的最大弹性势能;
(2)小滑块b经过圆形轨道的B点时对轨道的压力;
(3)试通过计算说明小滑块b能否到达圆形轨道的最高点C。
(1)a和b在碰撞过程中弹簧获得的最大弹性势能;
(2)小滑块b经过圆形轨道的B点时对轨道的压力;
(3)试通过计算说明小滑块b能否到达圆形轨道的最高点C。
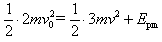
解:(1)a与b碰撞达到共速时弹簧被压缩至最短,弹性势能最大。设此时ab的速度为v,则由系统的动量守恒可得2mv0=3mv
由机械能守恒定律
解得:
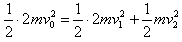
(2)当弹簧恢复原长时弹性势能为零,b开始离开弹簧,此时b的速度达到最大值,并以此速度在水平轨道上向前匀速运动。设此时a、b的速度分别为v1和v2,由动量守恒定律和机械能守恒定律可得
2mv0=2mv1+mv2

解得:
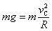
滑块b到达B时,根据牛顿第二定律有
解得N=5mg
根据牛顿第三定律滑块b在B点对轨道的压力N′=5mg,方向竖直向下
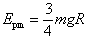
(3)设b恰能到达最高点C点,且在C点速度为vC,此时轨道对滑块的压力为零,滑块只受重力,由牛顿第二定律
解得
再假设b能够到达最高点C点,且在C点速度为vC',由机械能守恒定律可得:
解得vC'=0<
。所以b不可能到达C点,假设不成立
由机械能守恒定律
解得:
(2)当弹簧恢复原长时弹性势能为零,b开始离开弹簧,此时b的速度达到最大值,并以此速度在水平轨道上向前匀速运动。设此时a、b的速度分别为v1和v2,由动量守恒定律和机械能守恒定律可得
2mv0=2mv1+mv2
解得:
滑块b到达B时,根据牛顿第二定律有
解得N=5mg
根据牛顿第三定律滑块b在B点对轨道的压力N′=5mg,方向竖直向下
(3)设b恰能到达最高点C点,且在C点速度为vC,此时轨道对滑块的压力为零,滑块只受重力,由牛顿第二定律
解得
再假设b能够到达最高点C点,且在C点速度为vC',由机械能守恒定律可得:
解得vC'=0<
练习册系列答案
相关题目