题目内容
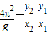
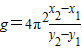
在利用单摆测重力加速度的实验中,测出不同摆长L对应的周期T,作出了如图所示的T2-L图象,已知图象上A、B两点的坐标分别是(x1,y1)、(x2,y2),则( )A.T2与L的关系式是T2=
B.图象的斜率表示重力加速度
C.由图象可求得当地的重力加速度
D.由图象可求得当地的重力加速度
【答案】分析:根据单摆的周期公式T=
推出重力加速度的表达式即可求解.
解答:解:A、根据T=
得:
,故A错误;
B、由
可知:图象的斜率表示
,故B错误;
C、根据斜率表示
可知:
,解得:
,故C错误,D正确.
故选D
点评:用单摆测重力加速度是一种简单且便于操作的方法,数据处理尽量用图象法.
解答:解:A、根据T=
B、由
C、根据斜率表示
故选D
点评:用单摆测重力加速度是一种简单且便于操作的方法,数据处理尽量用图象法.
练习册系列答案
相关题目